Target Exam

CUET

Subject

Chemistry

Chapter

Organic: Amines

Question:

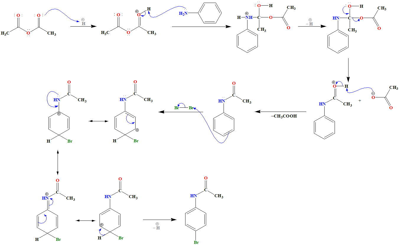
Identify product 'A" in the reaction shown below:

Options:

Correct Answer:

Explanation:

The correct answer is option 2.

The complete reaction will be as follows :

In this reaction aniline first reacts with acetic anhydride to give acetanilide which further reacts with bromine in presence of acetic acid to give p-Bromoacetanilide. Let us look at the mechanism of the reaction to understand the reaction better: