Target Exam

CUET

Subject

Chemistry

Chapter

Organic: Aldehydes, Ketones and Carboxylic Acids

Question:

Match List I with List II

LIST I LIST II
A. \(Benzophenone \longrightarrow Diphenylmethane\) I. \(LiAlH_4\)
B. \(Benzaldehyde \longrightarrow 1-Phenylethanol\) II. \(DIBAL-H\)
C. \(Cyclohexanone \longrightarrow Cyclohexanol\) III. \(NH_2-NH_2, KOH\)
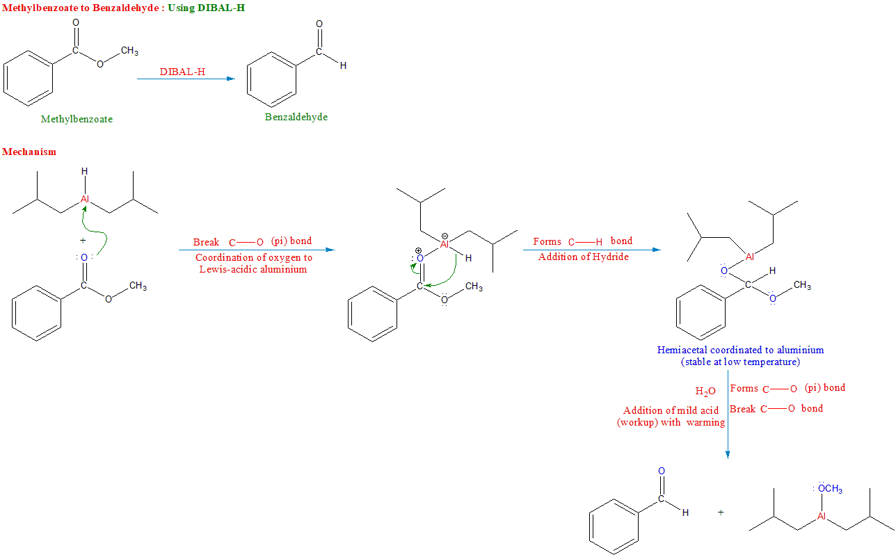
D. \(Methylbenzoate \longrightarrow Benzaldehyde\) IV. \(CH_3MgBr, H_2O\)

Choose the correct answers from the options given below:

Options:

A-III, B-IV, C-I, D-II

A-II, B-I, C-III, D-IV

A-III, B-I, C-IV, D-II

A-III, B-II, C-IV, D-I

Correct Answer:

A-III, B-IV, C-I, D-II

Explanation:

The correct answer is option 1. A-III, B-IV, C-I, D-II.

LIST I LIST II
A. \(Benzophenone \longrightarrow Diphenylmethane\) III. \(NH_2-NH_2, KOH\)
B. \(Benzaldehyde \longrightarrow 1-Phenylethanol\) IV. \(CH_3MgBr, H_2O\)
C. \(Cyclohexanone \longrightarrow Cyclohexanol\) I. \(LiAlH_4\)
D. \(Methylbenzoate \longrightarrow Benzaldehyde\) II. \(DIBAL-H\)