Target Exam

CUET

Subject

Chemistry

Chapter

Organic: Amines

Question:

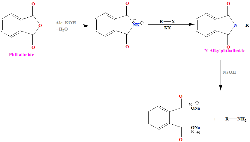
Gabriel synthesis is used for the preparation of primary amines. Phthalimide on treatment with ethanolic potassium hydroxide forms potassium salt of phthalimide which on heating with alkyl halide followed by alkaline hydrolysis produces the corresponding primary amine. Aromatic primary amines cannot be prepared by this method because aryl halides do not undergo nucleophilic substitution with the anion formed by phthalimide.

What is the mode of substitution in Gabriel Phthalimide reaction? 

Options:

Bimolecular Nucleophilic Substitution

Unimolecular  Nucleophilic Substitution

Electrophilic Substitution

Substitution does not take place 

Correct Answer:

Bimolecular Nucleophilic Substitution

Explanation:

The correct answer is option 1. Bimolecular Nucleophilic Substitution.

The Gabriel Phthalimide reaction involves a nucleophilic substitution mechanism. Specifically, it proceeds through a bimolecular nucleophilic substitution \((S_N2)\) pathway.

Bimolecular Nucleophilic Substitution \((S_N2)\):

In the Gabriel synthesis, the nucleophilic phthalimide anion attacks the electrophilic carbon of an alkyl halide. This attack occurs in a single, concerted step where the nucleophile displaces the leaving group (the halide) simultaneously. The result is the formation of an N-alkylphthalimide intermediate.

Where:

\(\text{R-X}\) represents the alkyl halide.

The nucleophilic phthalimide anion (\(\text{C}_6\text{H}_4(\text{CO})_2\text{N}^-\)) displaces the halide ion \((X^-)\) in an \(S_N2\) reaction.

In the Gabriel Phthalimide reaction, the mode of substitution is bimolecular nucleophilic substitution \((S_N2)\).