Target Exam

CUET

Subject

Chemistry

Chapter

Organic: Aldehydes, Ketones and Carboxylic Acids

Question:

Identify the major product obtained in the following reaction:

Options:

Correct Answer:

Explanation:

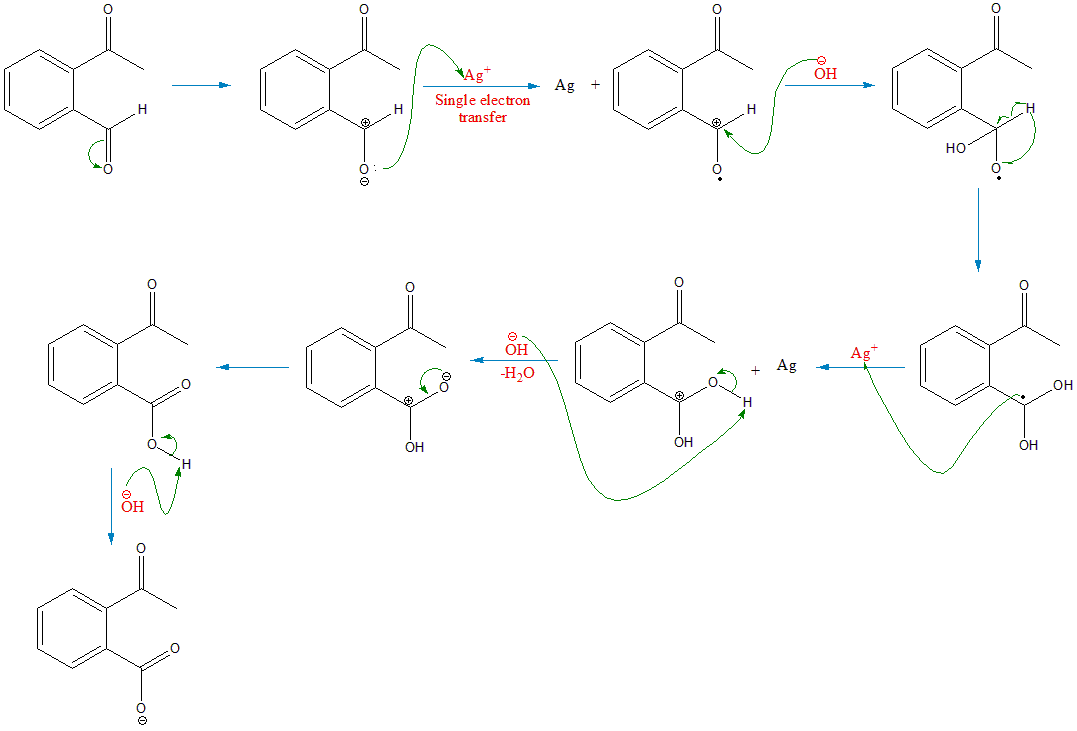
The correct answer is option 1.

Tollens' reagent is selective for aldehydes and does not react with ethers. Therefore, if both an aldehyde and an ether are present in a mixture, only the aldehyde will undergo a reaction with Tollens' reagent, while the ether will remain unreacted.

The reaction of Tollens' reagent with an aldehyde produces a silver mirror on the reaction vessel, indicating a positive test for the presence of an aldehyde. On the other hand, the ether will not show any observable reaction with Tollens' reagent.

It is important to note that the selectivity of Tollens' reagent for aldehydes is due to the fact that aldehydes can be oxidized to carboxylate ions \((RCOO^-)\), while ethers do not have this oxidizable functional group. Therefore, only aldehydes will react with Tollens' reagent, resulting in the formation of a silver mirror. Ethers lack the necessary functional group for this reaction to occur.

The mechanism of the reaction is as follows: