Target Exam

CUET

Subject

Chemistry

Chapter

Organic: Alcohols, Phenols and Ethers

Question:

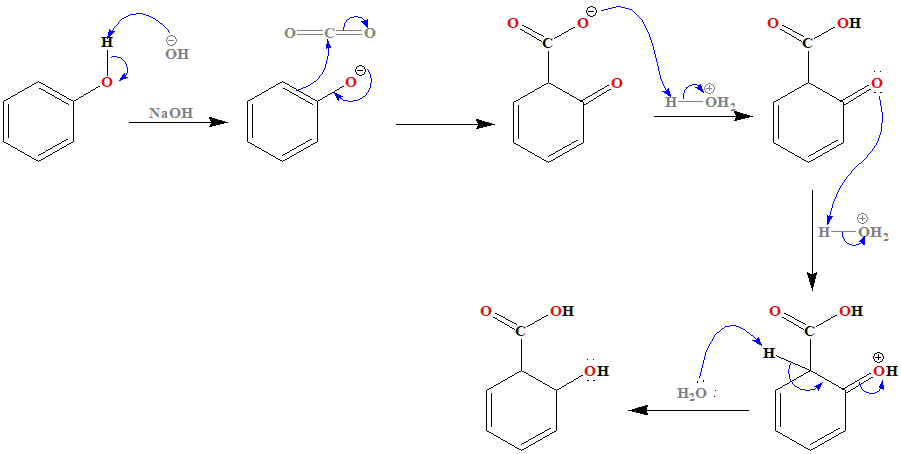
Phenol reacts with sodium hydroxide and carbon dioxide in acidic medium to produce

Options:

Benzoic acid

Salicylaldehyde

Salicylic acid

Phthalic acid

Correct Answer:

Salicylic acid

Explanation:

The correct answer is option 3. Salicylic acid.

Phenol reacts with sodium hydroxide and carbon dioxide under specific conditions to produce salicylic acid. This reaction is known as the Kolbe-Schmitt reaction.

Phenol \((C_6H_5OH)\) first reacts with sodium hydroxide \((NaOH)\) to form sodium phenoxide \((C_6H_5O^-Na^+)\). The sodium phenoxide then reacts with carbon dioxide \((CO_2)\) under high pressure and temperature to form sodium salicylate.The sodium salicylate is then treated with an acid (like hydrochloric acid, \(HCl\)) to form salicylic acid.

Salicylic Acid: The final product is salicylic acid, which has the formula \(C_6H_4(OH)(COOH)\). It is an ortho-hydroxybenzoic acid.


The correct product of the reaction of phenol with sodium hydroxide and carbon dioxide in an acidic medium is salicylic acid. Therefore, the correct answer is option 3: Salicylic acid.