Target Exam

CUET

Subject

Chemistry

Chapter

Organic: Biomolecules

Question:

Synthesis of DNA can be outlined by the following steps:

A. Joining of phosphoric acid unit to C-5 of nucleoside.

B. Complementary base pairing between the strands.

C. Joining of C-1 of pentose sugar to nitrogen of the base.

D. Formation of phosphodiester linkage between C-5 of one nucleotide and C-3 of another.

Choose the correct answers from the options given below:

Options:

C, A, D, B

A, D, C, B

D, A, B, C

B, A, C, D

Correct Answer:

C, A, D, B

Explanation:

The correct answer is option 1. C, A, D, B.

Let us dive into the steps involved in the synthesis of DNA, starting from the basic building blocks and moving towards the formation of the complete DNA double helix.

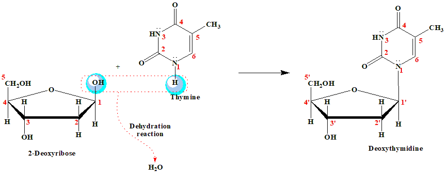
Formation of a Nucleoside : C. Joining of C-1 of pentose sugar to nitrogen of the base.

The first step in DNA synthesis involves forming a nucleoside, which consists of a pentose sugar (deoxyribose) and a nitrogenous base (adenine, guanine, cytosine, or thymine). The C-1 carbon of the pentose sugar is connected to a nitrogen atom on the nitrogenous base via a glycosidic bond. For purines (adenine and guanine), the nitrogen atom is on position 9, while for pyrimidines (cytosine and thymine), the nitrogen atom is on position 1.

\(\text{Base} + \text{Deoxyribose (C-1)} \rightarrow \text{Nucleoside}\)

Example :

Formation of a Nucleotide : A. Joining of phosphoric acid unit to C-5 of nucleoside.

The next step involves converting the nucleoside into a nucleotide by adding a phosphate group. The phosphate group attaches to the C-5 carbon of the deoxyribose sugar through a phosphoester bond. The resulting structure is called a nucleotide, which is the fundamental unit of DNA.

\(\text{Nucleoside} + \text{Phosphate group (C-5)} \rightarrow \text{Nucleotide}\)

Example:

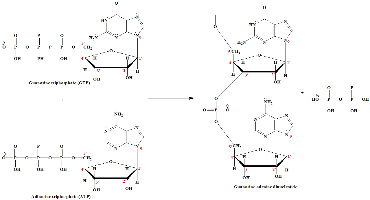
Formation of the DNA Backbone : D. Formation of phosphodiester linkage between C-5 of one nucleotide and C-3 of another.

DNA is a polymer made up of many nucleotides linked together by phosphodiester bonds. In this step, the phosphate group of one nucleotide (attached at C-5) forms a bond with the hydroxyl group on the C-3 carbon of the sugar in the next nucleotide. This bond creates the sugar-phosphate backbone of the DNA strand, with the nucleotides linked in a 5' to 3' direction.

\(\text{Nucleotide 1 (C-5)} + \text{Nucleotide 2 (C-3)} \rightarrow \text{Phosphodiester linkage}\)

Example:

Formation of the DNA Double Helix : B. Complementary base pairing between the strands.

DNA is double-stranded, and each strand is composed of a sequence of nucleotides. The two strands of DNA come together to form a double helix through hydrogen bonding between complementary bases: Adenine (A) pairs with Thymine (T) via **two hydrogen bonds. Guanine (G) pairs with Cytosine (C) via three hydrogen bonds. This complementary base pairing ensures the strands are complementary and form the characteristic double helical structure of DNA.

\(\text{A-T and G-C base pairs form between two strands}\)

Thus the correct answer is (1) C, A, D, B. This sequence accurately represents the order of events in DNA synthesis.