Target Exam

CUET

Subject

Chemistry

Chapter

Organic: Polymers

Question:

A is used in the manufacture of unbreakable crockey. Polymer A is:

Options:

Melamine

Bakelite

Novolac

Buna-S

Correct Answer:

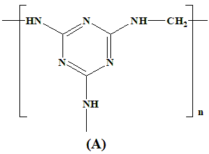
Melamine

Explanation:

The correct answer is option 1. Melamine.

Melamine is used to manufacture unbreakable crockery because it forms a highly durable polymer called melamine formaldehyde when it reacts with formaldehyde. This polymer is widely known for its strength, hardness, and heat resistance.

Melamine reacts with formaldehyde to form a thermosetting polymer. Thermosetting polymers, once set (or hardened), cannot be melted or reshaped. This makes them ideal for applications requiring durability, such as crockery.  


Properties:

Heat Resistance: Melamine formaldehyde can withstand high temperatures, making it suitable for use in kitchenware exposed to hot food or liquids.

Durability: The material is resistant to breaking or shattering, which is why it's often called "unbreakable crockery."

Scratch Resistance: It has good resistance to scratching and wear, further increasing its lifespan.

Applications: Due to these properties, melamine formaldehyde is widely used to make dinnerware, kitchen utensils, and other household items that require both aesthetic appeal and functional toughness.

This makes Melamine (option 1) the ideal polymer for manufacturing unbreakable crockery.