Target Exam

CUET

Subject

Chemistry

Chapter

Organic: Aldehydes, Ketones and Carboxylic Acids

Question:

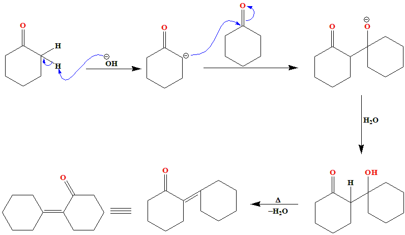
Identify the product formed when cyclohexanone undergoes aldol condensation.

Options:

Correct Answer:

Explanation:

The correct answer is option 2.

Aldol Condensation can be defined as an organic reaction in which enolate ion reacts with a carbonyl compound to form β-hydroxy ketone or β-hydroxy aldehyde, followed by dehydration to give a conjugated enone. Aldol Condensation plays a vital role in organic synthesis, creating a path to form carbon-carbon bonds.

Mechanism: