Target Exam

CUET

Subject

Chemistry

Chapter

Organic: Haloalkanes and Haloarenes

Question:

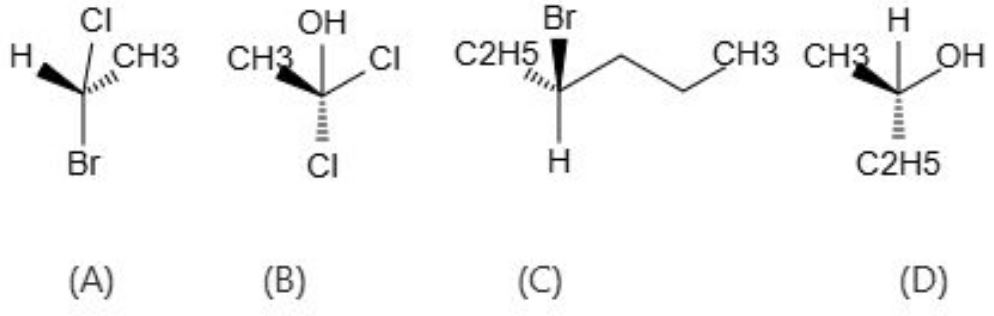
Identify the chiral molecule from the following.

Choose the correct answer from the options given below:

Options:

(A), (C) and (D) only

(A), (B), (C), (D)

(B), (A) and (C) only

(A), (B), and (D only

Correct Answer:

(A), (C) and (D) only

Explanation:

The correct answer is Option (1) → (A), (C) and (D) only

(A): H, Cl, CH₃, Br → four different groups → chiral

(B): CH₃, OH, Cl, Cl → two Cl groups are identical → achiral

(C): H, Br, C₂H₅ (ethyl), —CH(CH₃)₂ (isopropyl) → four different groups → chiral

(D): CH₃, OH, H, C₂H₅ → four different groups → chiral