Target Exam

CUET

Subject

Chemistry

Chapter

Organic: Aldehydes, Ketones and Carboxylic Acids

Question:

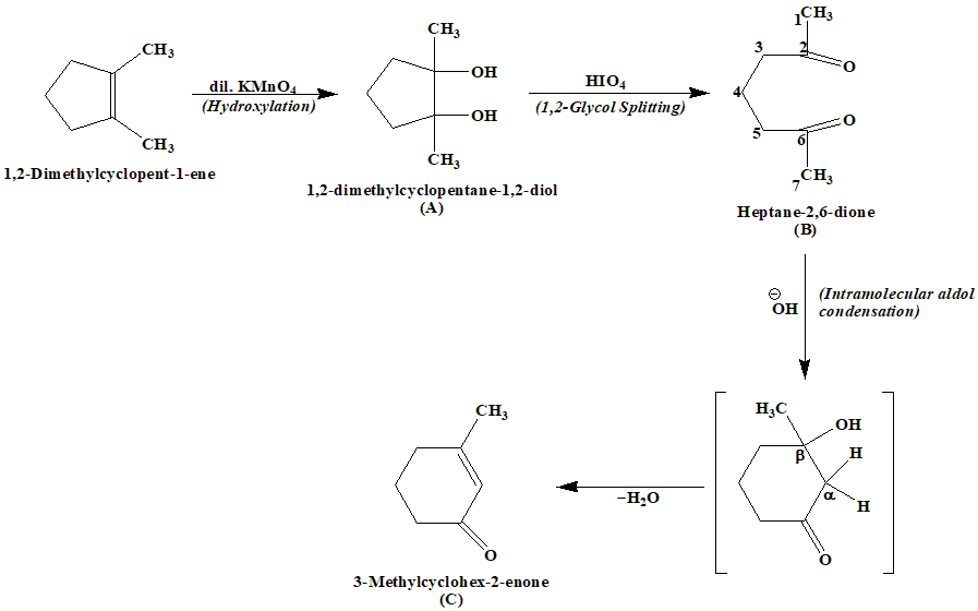
Identify the product \(C\) of the from the given set of reaction:

Options:

Correct Answer:

Explanation:

The correct answer is option 4. .