Target Exam

CUET

Subject

Chemistry

Chapter

Organic: Amines

Question:

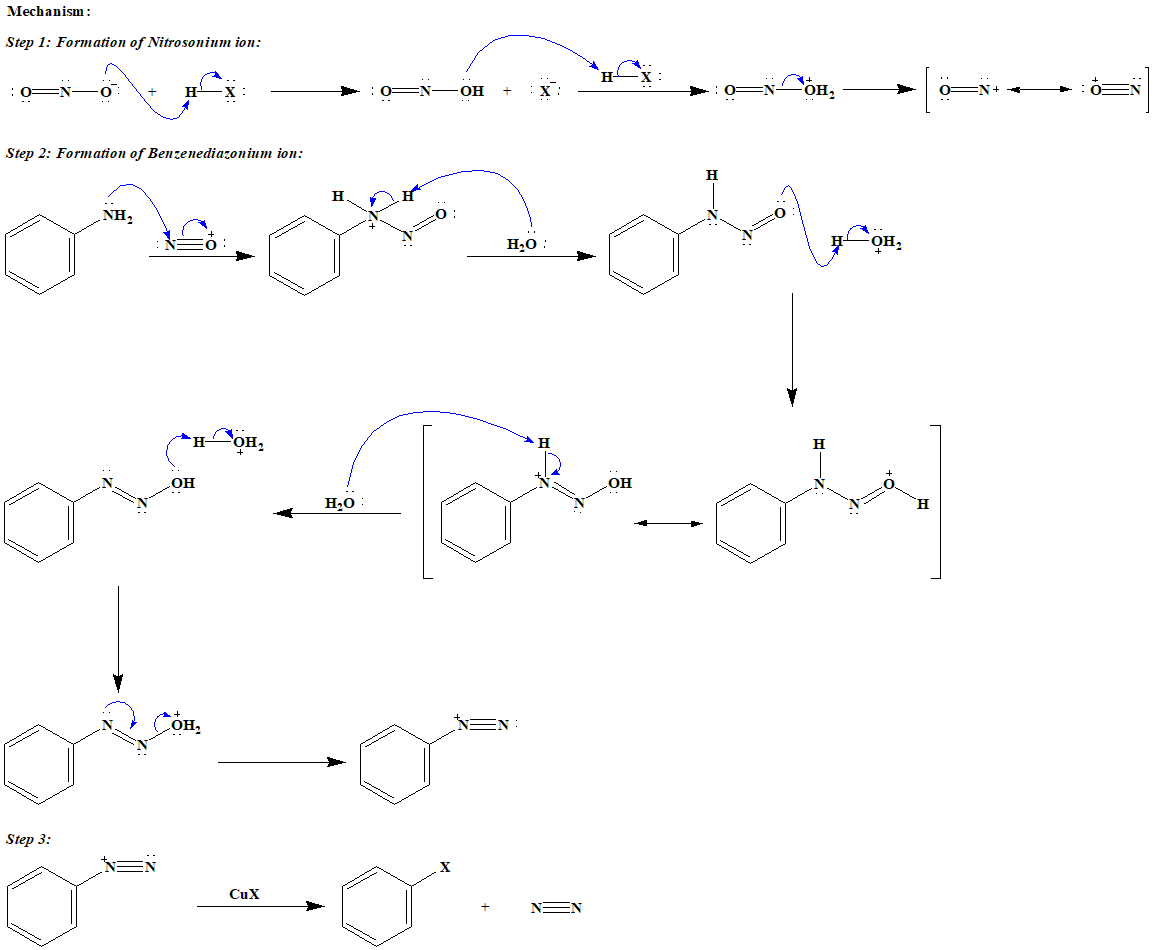
From the given reaction:

Identify A and B.

Options:

\(A = C_6H_5N_2Cl, B = C_6H_5X\)

\(A = C_6H_5N_2Cl, B = C_6H_4X_2\)

\(A = C_6H_5NCl, B = C_6H_5X\)

\(A = C_6H_5NCl, B = C_6H_4X_2\)

Correct Answer:

\(A = C_6H_5N_2Cl, B = C_6H_5X\)

Explanation:

The correct answer is option 1. \(A = C_6H_5N_2Cl, B = C_6H_5X\).