Target Exam

CUET

Subject

Chemistry

Chapter

Organic: Aldehydes, Ketones and Carboxylic Acids

Question:

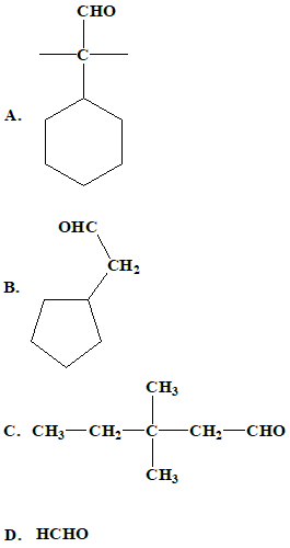
Which of the following compounds will undergo Aldol condensation reaction?

Choose the correct answer from the options given below:

Options:

(A), (C) and (D) only

(B) and (C) only

(B), (C) and (D) only

(A), (B), (C) and (D)

Correct Answer:

(B) and (C) only

Explanation:

The correct answer is Option (2) → (B) and (C) only.

Aldol condensation occurs in aldehydes having \(\alpha \)hydrogen with a dilute base to give \(\beta \)- hydroxy aldehydes called aldols. This reaction is most commonly known as aldol condensation. If the condensation reaction occurs between two different carbonyl compounds it is called crossed aldol condensation.

Aldol Condensation can be defined as an organic reaction in which enolate ion reacts with a carbonyl compound to form \(\beta \)- hydroxy ketone or \(\beta \)- hydroxy aldehyde, followed by dehydration to give a conjugated enone. Aldol Condensation plays a vital role in organic synthesis, creating a path to form carbon-carbon bonds.

So the main criterion for the aldol condensation is the presence of \(\alpha \)- hydrogen. Let us now look at the given options to find out which compounds have \(\alpha \)- hydrogen:

So, the correct answer is Option (2) → (B) and (C) only.