Target Exam

CUET

Subject

Chemistry

Chapter

Organic: Haloalkanes and Haloarenes

Question:

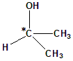
In which of the following molecules carbon atom marked with asterix (*)is a stereocentre or chiral centre?

Options:

Correct Answer:

Explanation:

The correct answer is option 1.

A chiral center is defined as an atom in a molecule that is bonded to four different chemical species, allowing for optical isomerism. It is a stereocenter that holds a set of atoms (ligands) in space such that the structure may not be superimposed on its mirror image.