Target Exam

CUET

Subject

Chemistry

Chapter

Organic: Amines

Question:

Match List I with List II

List I List II
A. Ethanamine i. Amine which gives azo dye test
B. Diethylamine ii. Amine which can be prepared by Gabriel phthalimide reaction
C. Triethylamine iii. Amine which gives Liebermann nitroso reaction
D. Aniline iv. Amine which does not react with Grignard reagents

Choose the correct option out of the following:

Options:

A-ii, B-iii, C-iv, D-i

A-i, B-ii, C-iii, D-iv

A-iii, B-iv, C-i, D-ii

A-iii, B-ii, C-i, D-iv

Correct Answer:

A-ii, B-iii, C-iv, D-i

Explanation:

The correct answer is option 1. A-ii, B-iii, C-iv, D-i.

List I List II
A. Ethanamine ii. Amine which can be prepared by Gabriel phthalimide reaction
B. Diethylamine iii. Amine which gives Liebermann nitroso reaction
C. Triethylamine v. Amine which does not react with Grignard reagents
D. Aniline ii. Amine which gives azo dye test

Let us go through each compound and their corresponding reactions to explain why they match the way they do.

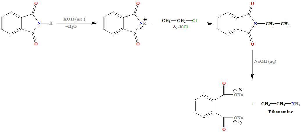
A. Ethanamine (ethylamine): ii. Amine which can be prepared by Gabriel phthalimide reaction.

This is a primary amine \((R-NH_2)\). Gabriel phthalimide synthesis is a method used to prepare primary amines. In this reaction, phthalimide is treated with potassium hydroxide to form potassium phthalimide, which then reacts with an alkyl halide to form N-alkylphthalimide. This intermediate is then hydrolyzed to produce a primary amine.

So, Ethanamine (ethylamine) can be prepared by this method.

B. Diethylamine : iii. Amine which gives Liebermann nitroso reaction.

This is a secondary amine \((R_2NH)\). Liebermann Nitroso Reaction is specific to secondary amines. When a secondary amine reacts with nitrous acid \((HNO_2)\), it forms a nitrosoamine, which can be detected by its distinctive color change.

Diethylamine, being a secondary amine, gives a positive Liebermann nitroso reaction.

C. Triethylamine : iv. Amine which does not react with Grignard reagents.

This is a tertiary amine \((R_3N)\). Tertiary amines do not have a hydrogen atom attached to the nitrogen, so they do not react with Grignard reagents. Grignard reagents typically react with compounds that have active hydrogen atoms (such as alcohols, primary and secondary amines).

Triethylamine, being a tertiary amine, does not react with Grignard reagents.

D. Aniline : i. Amine which gives azo dye test

This is an aromatic primary amine \((C_6H_5NH_2)\). Primary aromatic amines react with nitrous acid at low temperatures to form diazonium salts, which then couple with phenols or aromatic amines to form azo dyes. This is a classic test for aromatic primary amines.

The diazonium salt can then react with another aromatic compound to form a brightly colored azo dye.

Therefore, the correct option is: 1. A-ii, B-iii, C-iv, D-i