Target Exam

CUET

Subject

Chemistry

Chapter

Physical: Solid State

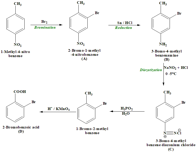
Question:

Identify A, D

Options:

Correct Answer:

Explanation:

The correct answer is Option (4)

The sequence of the reactions will be as follows: