Target Exam

CUET

Subject

Chemistry

Chapter

Organic: Aldehydes, Ketones and Carboxylic Acids

Question:

Read the passage carefully and answer the Questions.

Aldehydes, carboxylic acids and ketones are widespread in the animal and plant kingdoms. They play a pivotal role in various biochemical processes of life. Their presence in nature adds fragrance and flavor. These compounds are widely used in food products, pharmaceuticals, paints, resins and other important product industries. These compounds are prepared by various laboratory methods, which mainly include oxidation, formylation, acylation and reduction. Due to the polar nature of the carbonyl group in aldehydes and ketones, they can exhibit different reactions like nucleophilic addition. They do exhibit redox and various condensation reactions which lead to the formation of various important compounds. On the other hand, the carboxylic acids are mainly prepared by oxidation and hydrolysis of different compounds. The carboxylic acid consists of a carbonyl group and the hydroxy group (attached to the carbonyl carbon atom). This makes it possible for the carboxylic acid to participate in various chemical reactions which involve cleavage of the C-OH bond and the O-H bond along with the reactions involving the complete -COOH group.

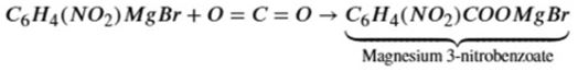
Identify the final product (X) of the chemical reaction obtained from the following transformation:

Options:

3-Nitrobenzaldehyde

1-Methyl-3-nitrobenzene

3-Nitrobenzoic acid

3-Aminobenzoic acid

Correct Answer:

3-Nitrobenzoic acid

Explanation:

The correct answer is Option (3) → 3-Nitrobenzoic acid

Core Concept: This reaction follows Grignard reagent formation followed by carboxylation.

Step 1: Formation of the Grignard Reagent

The aryl bromide reacts with magnesium metal in dry ether to form an organometallic compound.

Step 2: Reaction with Carbon Dioxide ($CO_2$)

The Grignard reagent acts as a strong nucleophile. The aryl group ($C_6H_4NO_2^-$) attacks the electrophilic carbon of the $CO_2$ molecule.

Step 3: Acidic Hydrolysis

The addition of dilute acid ($H^+/H_2O$) protonates the carboxylate oxygen and dissolves the magnesium salts.

$C_6H_4(NO_2)COOMgBr + H_2O \overset{{H^+}}{\longrightarrow} C_6H_4(NO_2)COOH + Mg(OH)Br$

Option 3: 3-Nitrobenzoic acid

Grignard reagent reacts with $CO_2$ to form carboxylic acid at the same position. This is the correct product.