Target Exam

CUET

Subject

Chemistry

Chapter

Organic: Aldehydes, Ketones and Carboxylic Acids

Question:

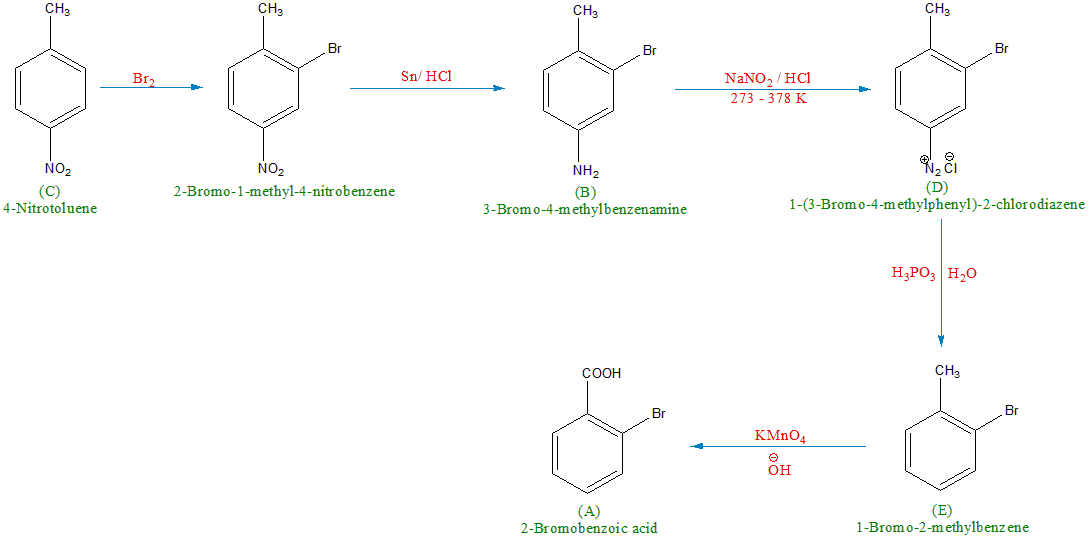
Correct sequence of conversion of 4-Nitrotoluene to 2-Bromobenzoic acid is

 

 

Choose the correct answer from the options given below:

Options:

\(C \rightarrow B \rightarrow D \rightarrow E \rightarrow A\)

\(B \rightarrow C \rightarrow D \rightarrow E \rightarrow A\)

\(A \rightarrow B \rightarrow C \rightarrow D \rightarrow E\)

\(C \rightarrow D \rightarrow E \rightarrow B \rightarrow A\)

Correct Answer:

\(C \rightarrow B \rightarrow D \rightarrow E \rightarrow A\)

Explanation:

The correct answer is option 1. \(C \rightarrow B \rightarrow D \rightarrow E \rightarrow A\).