Target Exam

CUET

Subject

Chemistry

Chapter

Organic: Haloalkanes and Haloarenes

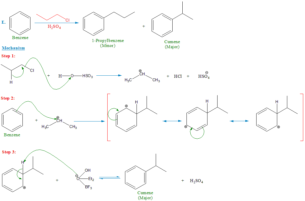
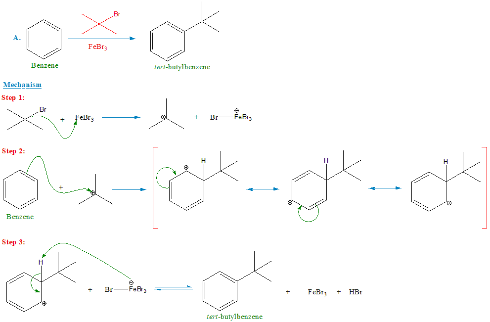
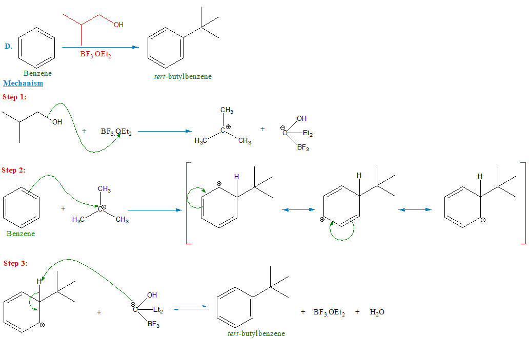
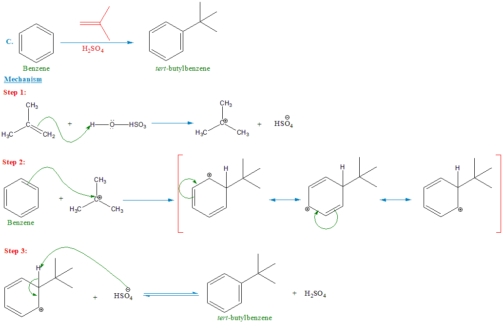
Question:

Among the following reaction(s) Which gives (give) tert-butylbenzene as the major product

Choose the correct answer from the options given below:

Options:

B, C and D

A, C and D

A, D and E

B, D and E

Correct Answer:

A, C and D

Explanation:

The correct answer is (2) A, C and D.