Target Exam

CUET

Subject

Chemistry

Chapter

Organic: Amines

Question:

Amines are reactive in nature, mainly due to difference in electronegativity between Nitrogen and Hydrogen and, due to lone pair of electrons on Nitrogen. Amines behaves like nucleophiles and as good Lewis bases and there are various reactions to support this. Different degree of amines differ in their reactivity due to steric hinderance and electronic effects. Aromatic amines are less basic due to +R effect, hence have higher \(pK_b\) value than the aliphatic amines. Basic strength of amines also depend on stability of corresponding conjugate acid in aqueous medium.

Identify A:

Options:

Correct Answer:

Explanation:

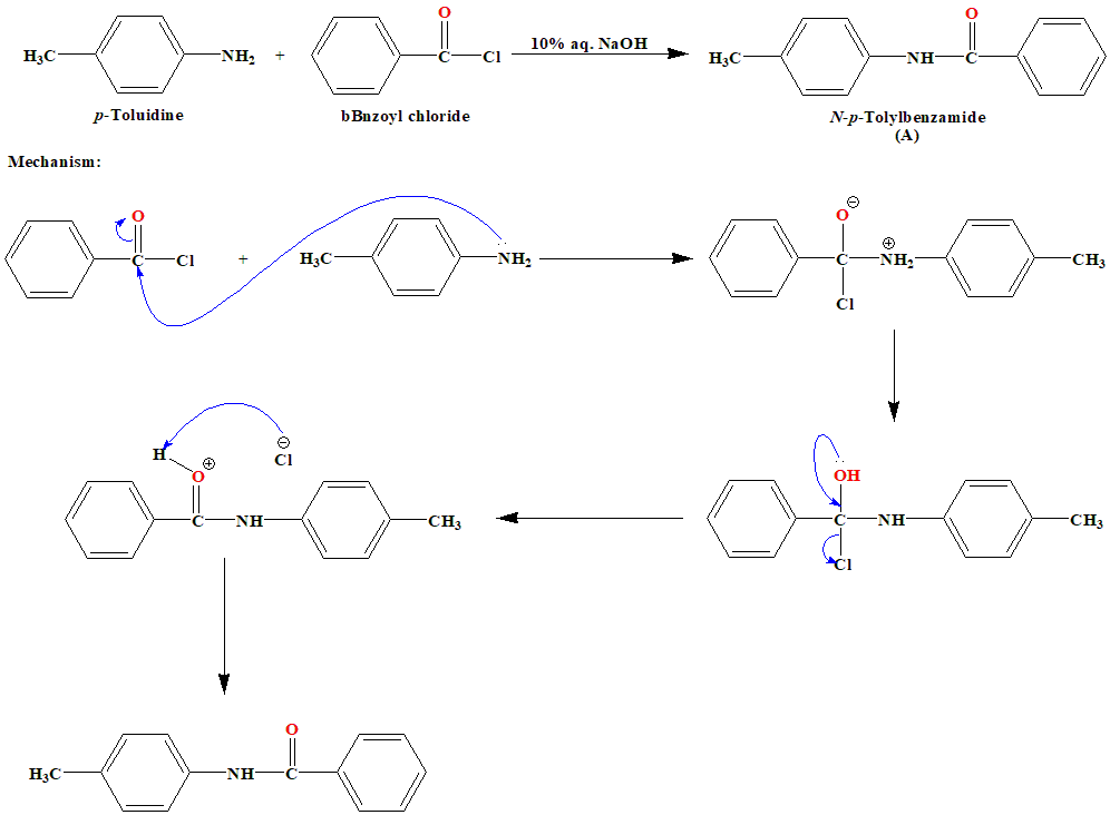
The correct answer is option 1.

The given reaction is Schotten Baumann Reaction. The Schotten Baumann reaction can also refer to the benzoylation of active hydrogen-containing compounds with the help of benzyl chloride and aqueous sodium hydroxide. Pyridine can also be used as an alternative to the sodium hydroxide base.

This reaction can be generalized as follows: