Target Exam

CUET

Subject

Chemistry

Chapter

Organic: Amines

Question:

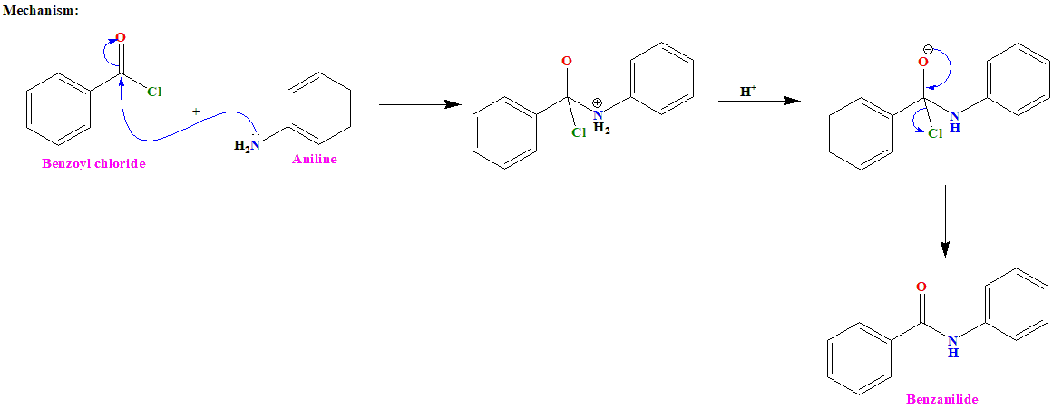
Aliphatic and aromatic primary and secondary amines react with acid chlorides, anhydrides and esters by nucleophilic substitution reaction. This reaction is known as acylation. You can consider this reaction as the replacement of hydrogen atom of –NH2 or >N–H group by the acyl group. The products obtained by acylation reaction are known as amides. The reaction is carried out in the presence of a base stronger than the amine, like pyridine, which removes HCl so formed and shifts the equilibrium to the right hand side.

What is the product formed when aniline reacts with benzoyl chloride in the presence of a base? 

Options:

Acetanilide

Benzanilide

N-Phenyl sulphonamide

No reaction 

Correct Answer:

Benzanilide

Explanation:

The correct answer is option 2. Benzanilide.