Target Exam

CUET

Subject

Chemistry

Chapter

Organic: Alcohols, Phenols and Ethers

Question:

Match List I with List II

List I List II
A. Reimer-Tiemann reaction I. Benzene
B. Kolbe's reaction II. Picric acid
C. Nitration of phenol with conc. \(HNO_3\) III. Salicylic acid
D. Reaction of phenol with Zn dust IV. Salicylaldehyde

Choose the correct answer from the options given below:

Options:

A-I, B-II, C-III, D-IV

A-IV, B-III, C-II, D-I

A-II, B-III, C-IV, D-I

A-III, B-II, C-I, D-IV

Correct Answer:

A-IV, B-III, C-II, D-I

Explanation:

The correct answer is option 2. A-IV, B-III, C-II, D-I.

List I List II
A. Reimer-Tiemann reaction IV. Salicylaldehyde
B. Kolbe's reaction III. Salicylic acid 
C. Nitration of phenol with conc. \(HNO_3\) II. Picric acid
D. Reaction of phenol with Zn dust I. Benzene

Let us match the reactions in List I with their corresponding products or key reactants in List II.

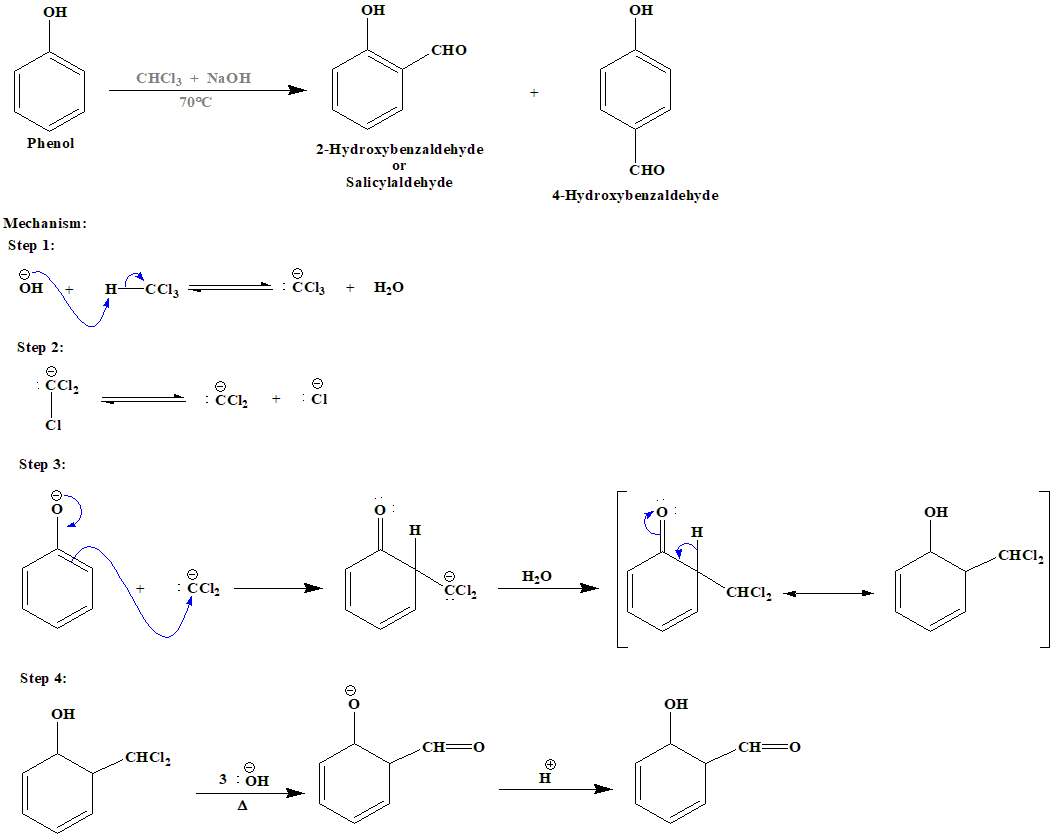
A. Reimer-Tiemann reaction: IV. Salicylaldehyde

The Reimer-Tiemann reaction involves the conversion of phenol to salicylaldehyde by reacting phenol with chloroform (\(CHCl_3\)) in the presence of a strong base like sodium hydroxide (\(NaOH\)).



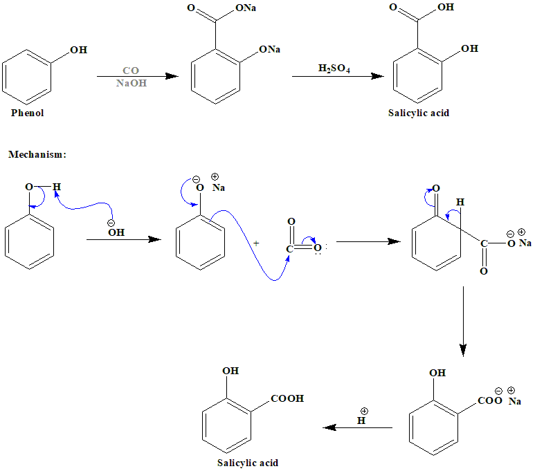
B. Kolbe's reaction: III. Salicylic acid

The Kolbe's reaction involves the carboxylation of phenol (through its sodium salt) to produce salicylic acid when treated with carbon dioxide (\(CO_2\)) under high pressure.

C. Nitration of phenol with concentrated \(HNO_3\): II. Picric acid

When phenol is treated with concentrated nitric acid, it undergoes nitration to produce picric acid (2,4,6-trinitrophenol).

D. Reaction of phenol with Zn dust :I. Benzene

When phenol is heated with zinc dust, it reduces to benzene.