Target Exam

CUET

Subject

Chemistry

Chapter

Organic: Haloalkanes and Haloarenes

Question:

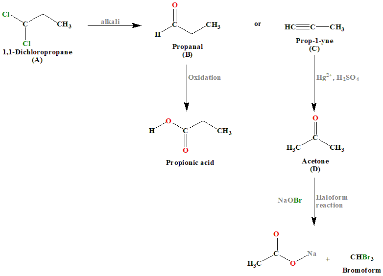
A compound ‘A’ \((C_3H_6Cl_2)\) on reaction with an alkali either gives a compound ‘B’ \((C_3H_6O)\) or ‘C’ \((C_3H_4)\). On oxidation, ‘B’ gives a compound \(C_3H_6O_2\). ‘C’, on reacting with dilute \(H_2SO_4\) containing \(Hg^{2+}\) ion, gives a compound ‘D’ \((C_3H_6O)\), which reacts with bromine and alkali to give sodium salt of \(C_2H_3O_2\). Then ‘A’ is

Options:

\(CH_2ClCH_2CH_2Cl\)

\(CH_3CCl_2CH_3\)

\(CH_3CHClCH_2Cl\)

\(CH_3CH_2CHCl_2\)

Correct Answer:

\(CH_3CH_2CHCl_2\)

Explanation:

The correct answer is option 4. \(CH_3CH_2CHCl_2\).

In order to obtain the reactant, we shall approach this problem in reverse.

Let's analyze what 'D' is. Alkali solutions containing sodium hypochlorite solution \(Br_2\) readily oxidize aldehydes and ketones with at least one methyl group attached to the carbonyl carbon atom, resulting in the formation of haloform. The result of the haloform reaction is the \(CH_3COONa\) in this instance.

Through reverse approach, the D has to be a basic ketone. D is therefore acetone. The acetone haloform reaction is depicted below.

Let us find out ‘C’. The alkynes can be converted into the aldehydes or ketone by the hydration of alkynes in the presence of dil. sulphuric acid and \(HgSO_4\) as a catalyst. Here, we know that the, alkyne have the general formula of \(C_3H_4\), thus it is three carbon containing alkyne. This alkyne on oxidation gives the acetone. Thus, compound ‘C’ is as shown below,

Thus, \(C_3H_4\) is propyne.

Now we will see what the compounds ‘B’ is. It is found that the compound ‘B’ on further oxidation gives a compounds having formula \(C_3H_6O_2\) from the \(C_3H_6O\). Thus the compound \(C_3H_6O\) can be alcohol, ketone or aldehyde and compound \(C_3H_6O_2\) is no doubt a carboxylic acid. We know that aldehydes are easily oxidized into the carboxylic acid in presence of oxidizing agents. Thus compound ‘B’ is an aldehyde.

Now, let’s find out compound ‘A’. The compound have a general molecular formula as \(C_3H_6Cl_2\), i.e., two of the hydrogens are replaced by the chlorine atom. This can be on the same carbon atom or on the adjacent carbon atom. But, we are interested to obtain the aldehyde (propanal) from the dichloropropane, thus the compound should have the chlorine groups on the same carbon atom. Such that, the both chlorine are replaced by the hydroxyl groups from the alkali followed by the removal of water molecules. This results in the aldehyde. Thus, compound ‘A’ must have the chlorine on the same carbon atom. The structure is as follows,

The complete reaction can be written as follow: