Target Exam

CUET

Subject

Chemistry

Chapter

Organic: Aldehydes, Ketones and Carboxylic Acids

Question:

Which of the following reaction can be used to convert acetone to propane? 

Options:

Mannich reaction 

Wittig reaction 

Wolff-Kishner reduction 

Caninnizzaro reaction 

Correct Answer:

Wolff-Kishner reduction 

Explanation:

The correct answer is option 3. Wolff-Kishner reduction.

To convert acetone to propane, the reaction that should be used is the Wolff-Kishner reduction.

Explanation of Each Reaction:

1. Mannich Reaction: Used for the formation of β-amino carbonyl compounds. Involves the reaction of a primary or secondary amine with formaldehyde and a carbonyl compound. Does not convert acetone to propane.

2. Wittig Reaction: Used for the formation of alkenes from aldehydes or ketones. Involves the reaction of a phosphonium ylide with an aldehyde or ketone. This reaction forms alkenes, not alkanes like propane.

3. Wolff-Kishner Reduction: Reduces ketones or aldehydes to alkanes. Involves the hydrazone formation followed by reduction using a strong base.  This reaction can reduce acetone (a ketone) to propane.

4. Cannizzaro Reaction: Involves the disproportionation of non-enolizable aldehydes to form a carboxylate salt and an alcohol. Only applies to aldehydes, not ketones like acetone. Does not convert acetone to propane.

Conclusion: The Wolff-Kishner reduction is specifically used to reduce ketones (like acetone) to alkanes (like propane). The process involves converting acetone to a hydrazone, which is then reduced to propane.

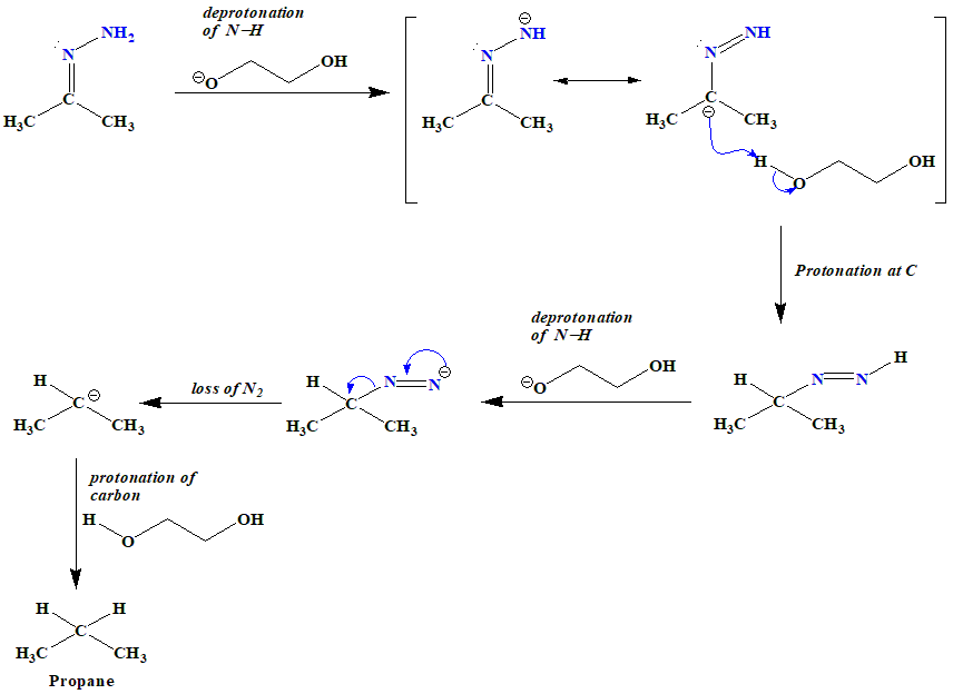
So, let us now look at the reaction and mechanism of the Wolff-Kishner reaction.

The Wolff Kishner reduction of ketones utilizes hydrazine \((NH_2NH_2)\) as the reducing agent in the presence of strong base \((KOH)\) in a high-boiling protic solvent (ethylene glycol, \(HO-CH_2CH_2-OH\), boiling point \(197 ^oC\)).

The driving force for the reaction is the conversion of hydrazine to nitrogen gas.

This is not exactly a gentle process; heating to almost \(200^oC\) is required to make the reaction occur at a reasonable rate.

The first step is formation of a hydrazone from the ketone (hydrazones are a cousin of imines, which we cover later in the course).   Hydrazine \((NH_2NH_2) adds to the carbonyl, and following a series of proton transfer steps, water is expelled.

Mechanism of The Wolff-Kishner Reaction

The \(NH_2\) of the hydrazone is reasonably acidic (\(pK_a\) about 21) and can be deprotonated by strong base at a high enough temperature (the base is likely the conjugate base of ethylene glycol, not \(KOH\)). This deprotonation appears to be the rate-limiting step.

The next step is the trickiest: protonation on the carbon. With the caveat that resonance forms don’t really exist, it can be helpful to imagine forming the resonance form of this species that has a negative charge on the carbon, and then protonating it with solvent (ethylene glycol).

This gives a species with a nitrogen-nitrogen double bond, which , after deprotonation by base, decomposes irreversibly to give nitrogen gas and a carbanion (i.e. a negatively charged carbon).

Protonation of the carbon completes the process.