Target Exam

CUET

Subject

Chemistry

Chapter

Organic: Alcohols, Phenols and Ethers

Question:

Read the passage given and answer the question.

Phenol and alcohol have the same functional group (-OH) but phenols are stronger acids than alcohols due to the resonance stabilization of phenoxide ion than alkoxide ion \((-RO^-)\). Electron withdrawing groups tend to increase the acidic strength while electron releasing groups tend to decrease it.

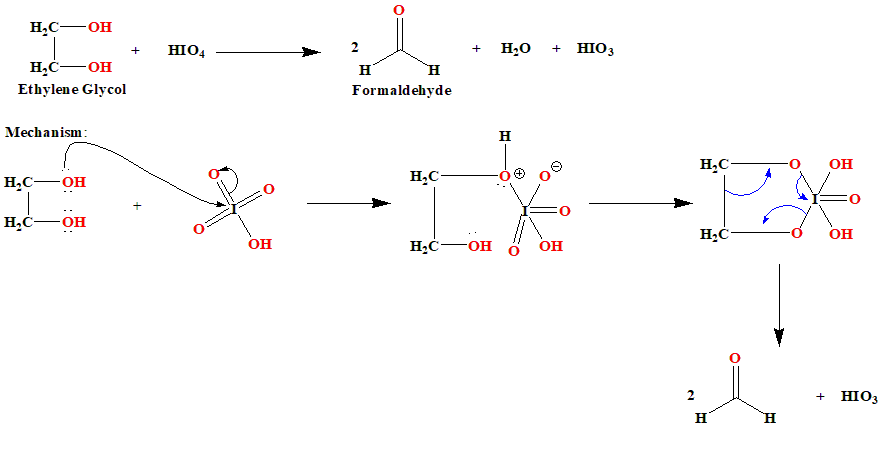
What happens when ethylene glycol reacts with periodic acid? 

Options:

Formaldehyde is produced

Acetaldehyde is produced 

Formic acid is produced 

Acetic acid is produced

Correct Answer:

Formaldehyde is produced

Explanation:

The correct answer is option 1. Formaldehyde is produced.

When ethylene glycol reacts with periodic acid, the predicted product is formaldehyde. Periodic acid \((HIO_4)\) is a strong oxidizing agent that can cleave vicinal diols (two hydroxyl groups on adjacent carbons) into carbonyl compounds (aldehydes or ketones). In the case of ethylene glycol, which is a vicinal diol, the carbon-carbon bond between the two hydroxyl groups is cleaved, forming two formaldehyde molecules.