Target Exam

CUET

Subject

General Aptitude Test

Chapter

Logical and Analytical Reasoning

Topic

Blood Relations

Question:

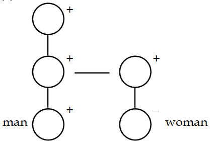
Pointing to a man a woman said, “his grandfather (paternal) is the only uncle of my father. How is woman’s father related to man?

Options:

Grandfather

Brother

Uncle

Father

Correct Answer:

Uncle

Explanation:

Note:

↑ or ↓ ⇒ Upward or downward line shown "generation gap" .

   =    ⇒ Double lines shown "relation b/w Husband & Wife"

   —   ⇒ single line shown "relation between them other than Husband & Wife".

   +   ⇒ Plus sign shown " Male".

   -   ⇒minus sign shown " Female".