Target Exam

CUET

Subject

Chemistry

Chapter

Organic: Aldehydes, Ketones and Carboxylic Acids

Question:

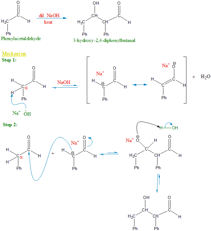
Which of the following compound would undergo Aldol condensation?

Options:

Methanal

Benzaldehyde

2,2-Dimethylbutanal

Phenylacetaldehyde

Correct Answer:

Phenylacetaldehyde

Explanation:

Aldehydes which contain at least \(alpha\) hydrogen atoms, undergo Aldol condensation reaction Phenylacetaldehyde contains \(alpha\) hydrogen atoms and undergoes Aldol condensation reaction in presence of dilute alkali.