Target Exam

CUET

Subject

Chemistry

Chapter

Organic: Aldehydes, Ketones and Carboxylic Acids

Question:

Wolff-Kishner reduction mechanism proceeds by the formation of which reaction intermediate?

Options:

Carbocation

Carbanion

Free radical

Carbene

Correct Answer:

Carbanion

Explanation:

The correct answer is option 2. Carbanion.

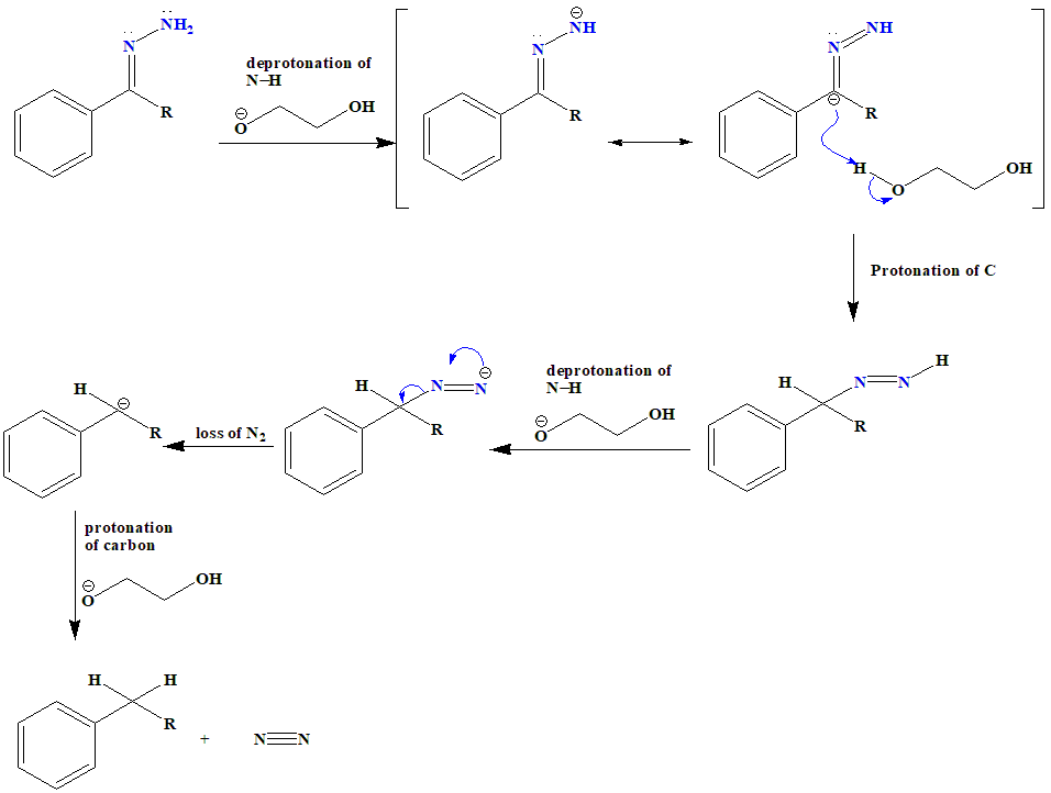
The Wolff Kishner reduction of ketones utilizes hydrazine \((NH_2NH_2)\) as the reducing agent in the presence of strong base \((KOH)\) in a high-boiling protic solvent (ethylene glycol, \(HO-CH_2CH_2-OH\), boiling point \(197 °C\)).

The driving force for the reaction is the conversion of hydrazine to nitrogen gas.

This is not exactly a gentle process; heating to almost \(200 °C\) is required to make the reaction occur at a reasonable rate.

The first step is formation of a hydrazone from the ketone (hydrazones are a cousin of imines, which we cover later in the course).   Hydrazine \((NH_2NH_2)\) adds to the carbonyl, and following a series of proton transfer steps, water is expelled.

 

The \(NH_2\) of the hydrazone is reasonably acidic (\(pK_a\) about \(21\)) and can be deprotonated by strong base at a high enough temperature (the base is likely the conjugate base of ethylene glycol, not \(KOH\)). This deprotonation appears to be the rate-limiting step.

The next step is the trickiest: protonation on the carbon. With the caveat that resonance forms don’t really exist, it can be helpful to imagine forming the resonance form of this species that has a negative charge on the carbon, and then protonating it with solvent (ethylene glycol).

This gives a species with a nitrogen-nitrogen double bond, which, after deprotonation by base, decomposes irreversibly to give nitrogen gas and a carbanion (i.e. a negatively charged carbon).

Protonation of the carbon completes the process.