Target Exam

CUET

Subject

Chemistry

Chapter

Organic: Aldehydes, Ketones and Carboxylic Acids

Question:

Answer the questions on the basis of passage given below:

As aldehydes & ketones possess the carbonyl functional group, they show similar reactions. They exhibit nucleophilic addition reactions, reduction, oxidations, reactions due to ∝-Hydrogen atom, and many other reactions, like Cannizzaro reaction to electrophilic substitution reactions (in case of aromatic aldehydes & ketones). These reactions help in the preparation of a number of important compounds, like acetic acid, vinyl acetate, polymers and in perfume and dye industries. Nucleophilic addition reactions form cyanohydrins. acetals, alcohols and N-substituted derivatives like imine, oxime, semicarbazone, phenylhydrazone & Schiff's base. Reactions due to ∝-hydrogen atoms help in formation of aldols and a, B-unsaturated aldehydes & ketones.

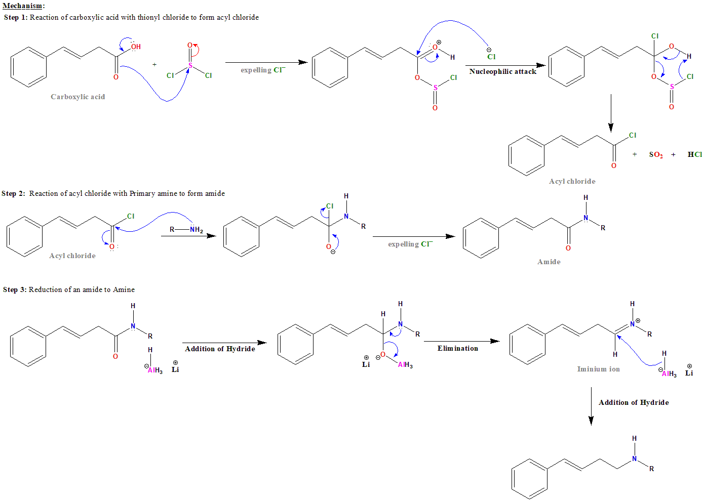
In the following reaction

'A' is:

Options:

Correct Answer:

Explanation:

The correct answer is option 4.

The reaction will be as follows:

The mechanism of this reaction can be easily described by two steps: