Target Exam

CUET

Subject

Chemistry

Chapter

Organic: Biomolecules

Question:

Amino acid in Zwitter ionic form shows

Options:

Acid behaviour

Basic behaviour

Amphoteric behaviour

Neutral behaviour

Correct Answer:

Amphoteric behaviour

Explanation:

Amino acids have an amino (-NH2) group, basic in nature, and accept proton and COOH group loses a proton forming a dipolar ion called the Zwitter ion. In this form, amino acids behave as acids and bases so they are amphoteric.

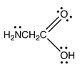
Example: Glycine

Pure glycine, however, exists as a Zwitter ion: