Target Exam

CUET

Subject

Chemistry

Chapter

Organic: Aldehydes, Ketones and Carboxylic Acids

Question:

Identify \(A\) and \(B\):

Options:

Correct Answer:

Explanation:

The correct answer is option 2.

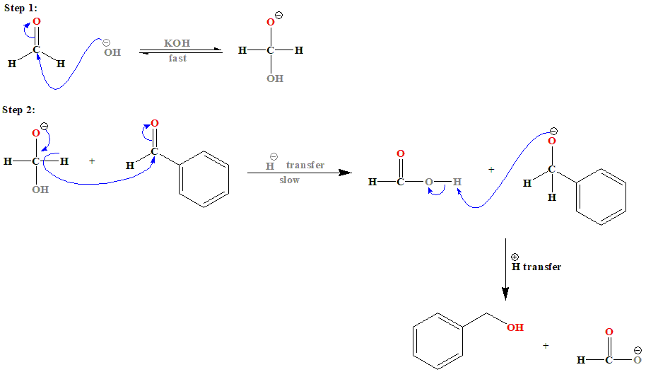
The reaction given here is Cannizzaro reaction:

Aldehydes like benzaldehyde, formaldehyde, trimethyl acetaldehyde etc. have no \(\alpha \)-hydrogen atoms, undergo disproportionation in the presence of strong base ot form equal amounts of corresponding alcohols and carboxylic acids. This reaction involves the reduction of one molecule of the aldehyde at the expense of the other that gets oxidized.

Mechanism: It involves nucleophilic addition of \(:\overset{-}{OH}\) to first molecule of aldehyde, followed by hydride transfer to other molecule and then \(H^+\) transfer, as shown below: