Target Exam

CUET

Subject

Chemistry

Chapter

Organic: Amines

Question:

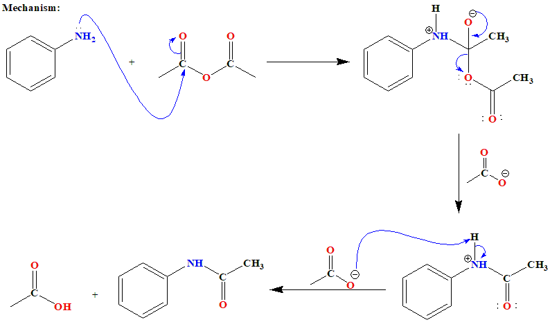
Acylation of aniline with acetic anhydride gives:

Options:

N-Methylbenzamide

N-Phenylacetamide

N-Ethylethanamide

N-Phenylbanzamide

Correct Answer:

N-Phenylacetamide

Explanation:

The correct answer is option 2. N-Phenylacetamide.

When aniline \((C_6H_5NH_2)\) undergoes acylation with acetic anhydride, it forms an amide by replacing the hydrogen atom on the nitrogen with an acetyl group \((CH_3CO^-)\). The product of this reaction is N-Phenylacetamide (also known as acetanilide).