Target Exam

CUET

Subject

Chemistry

Chapter

Organic: Alcohols, Phenols and Ethers

Question:

Match List I with List II

List I List II
(A) Kolbe's reaction (I) Alkylhalide with sodium alkoxide
(B) Williamson's synthesis (II) Phenol to salicylaldehyde
(C) Conversion of secondary alcohol to ketone (III) copper at 573K
(D) Reimer Tiemann reaction (IV) Phenol to o-hydroxybenzoic acid

Choose the correct answer from the options given below:

Options:

A-I, B-IV, C-III, D-II

A-IV, B-I, C-III, D-II

A-IV, B-I, C-II, D-III

A-I, B-IV, C-II, D-III

Correct Answer:

A-IV, B-I, C-III, D-II

Explanation:

The correct answer is option 2. A-IV, B-I, C-III, D-II.

List I List II
(A) Kolbe's reaction (IV) Phenol to o-hydroxybenzoic acid
(B) Williamson's synthesis (I) Alkylhalide with sodium alkoxide
(C) Conversion of secondary alcohol to ketone (III) copper at 573K
(D) Reimer Tiemann reaction (II) Phenol to salicylaldehyde

(A) Kolbe's reaction : (IV) Phenol to o-hydroxybenzoic acid:

Rudolf Schmitt. When phenol is treated with sodium hydroxide, phenoxide ion is generated. The phenoxide ion generated is more reactive than phenol towards electrophilic aromatic substitution reaction. Hence, it undergoes an electrophilic substitution reaction with carbon dioxide, which is a weak electrophile. Ortho-hydroxybenzoic acid (salicylic acid) is formed as the primary product. This reaction is popularly known as Kolbe’s reaction.

Kolbe’s reaction can be classified as a carboxylation chemical reaction. The reaction occurs when sodium phenolate is allowed to absorb carbon dioxide, and the resulting product is heated at a temperature of a 125-degree Celsius and a pressure of over a hundred atmospheres. An unstable intermediate is now formed.

Mechanism:

This unstable intermediate goes through a proton shift, leading to the formation of sodium salicylate. Now, this mixture is treated with sulfuric acid. The acidification of the mixture yields salicylic acid. The illustration for the Kolbe’s reaction mechanism is given below:

(B) Williamson's synthesis : (I) Alkylhalide with sodium alkoxide:

In the Williamson Ether Synthesis, an alkyl halide (or sulfonate, such as a tosylate or mesylate) undergoes nucleophilic substitution \((S_N2)\) by an alkoxide to give an ether. Being an \(S_N2\) reaction, best results are obtained with primary alkyl halides or methyl halides. Tertiary alkyl halides give elimination instead of ethers. Secondary alkyl halides will give a mixture of elimination and substitution. The alkoxide \(RO^–\)  can be those of methyl, primary, secondary, or tertiary alcohols.

The reaction is often run with a mixture of the alkoxide and its parent alcohol (e.g. \(NaOEt/EtOH\) or \(CH_3ONa/CH_3OH\)). Alternatively, a strong base may be added to the alcohol to give the alkoxide. Sodium hydride \((NaH)\) or potassium hydride \((KH)\) are popular choices.

When an alkoxide and alkyl halide are present on the same molecule, an intramolecular reaction may result to give a new ring. This works best for 5- and 6-membered rings.

When planning the synthesis of ethers using the Williamson, take care to select the best starting materials for an \(S_N2\) reaction

Mechanism:

The Williamson ether synthesis is a substitution reaction, where a bond is formed and broken on the same carbon atom. In this substitution reaction, a new \(C-O\) bond is formed, and a bond is broken between the carbon and the leaving group (LG) which is typically a halide or sulfonate.

It proceeds through an \(S_N2\) mechanism (nucleophilic substitution, bimolecular) where the nucleophile approaches the carbon atom from the backside of the carbon-leaving group bond.

A pair of electrons from the nucleophile are donated into the \(\sigma ^*\) (antibonding) orbital of the C-leaving group bond.

This requires that the nucleophile actually makes its way to the orbital on the backside of the carbon! For this reason, the \(S_N2\) is fastest for methyl and primary alkyl halides, and does not occur on tertiary alkyl halides due to the fact that nucleophiles can’t make their way through the tangled thicket of alkyl groups on the backside.

Substitution reactions of alkoxides with secondary alkyl halides can occur, but often occur with significant elimination through the \(E_2\) pathway.

(C) Conversion of secondary alcohol to ketone : (III) copper at 573K:

The conversion of a secondary alcohol to a ketone using copper at 573 K (approximately 300°C) is a specific oxidation reaction. This reaction is known as the oxidation of secondary alcohols using copper.

When a secondary alcohol is heated with copper at high temperatures, it undergoes oxidation to form a ketone. This process involves the removal of two hydrogen atoms from the alcohol to form the ketone. The general reaction can be summarized as follows:


Mechanism:

Copper acts as a catalyst in this reaction, facilitating the oxidation of the secondary alcohol. The high temperature (573 K) is crucial as it provides the necessary energy to drive the oxidation process and ensure that the reaction proceeds efficiently. Copper, when heated, can facilitate the removal of hydrogen atoms from the secondary alcohol, which leads to the formation of the ketone.

The conversion of a secondary alcohol to a ketone using copper at 573 K is a typical oxidation reaction. Copper acts as a catalyst to facilitate the oxidation, and the high temperature ensures the reaction proceeds to completion.

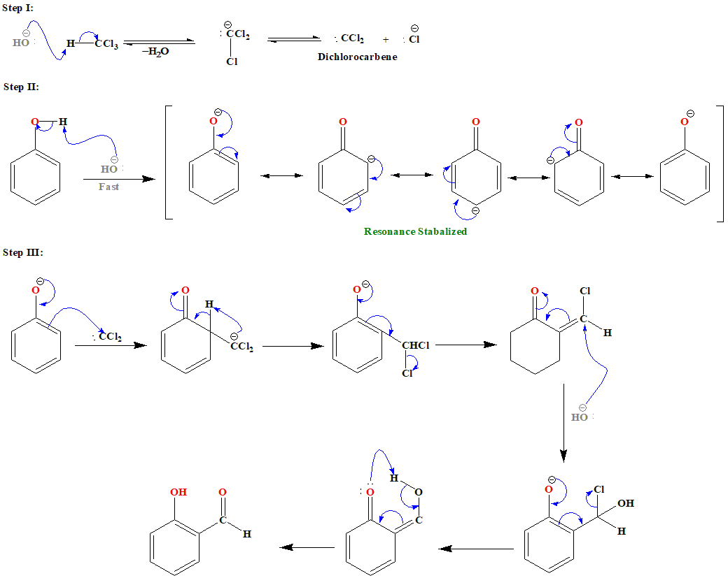
(D) Reimer Tiemann reaction : (II) Phenol to salicylaldehyde:

Reimer Tiemann reaction is a type of substitution reaction named after chemists Karl Reimer and Ferdinand Tiemann. The reaction is used for the ortho-formylation of \(C_6H_5OH\) (phenols). When phenol, i.e. \(C_6H_5OH\), is treated with \(CHCl_3\) (chloroform) in the presence of \(NaOH\) (sodium hydroxide), an aldehyde group \((-CHO)\) is introduced at the ortho position of the benzene ring leading to the formation of o-hydroxybenzaldehyde. The reaction is popularly known as the Reimer Tiemann reaction.

Mechanism:

Step I: First, a strongly basic hydroxide solution is used to deprotonate the chloroform. Deprotonation is the elimination of the hydrogen atom. The chloroform carbanion is formed by removing the hydrogen atom. The chloroform carbanion will swiftly undergo alpha elimination, yielding dichlorocarbene \((CCl_2)\), the reaction’s major reactive species.

Step II: Base extracts the hydrogen atom from the \(-OH\) group to generate the phenoxide ion. The phenoxide’s negative charge is delocalized into the aromatic ring, making it more nucleophilic.

Step III: The addition of dichlorocarbene results in the formation of an intermediate i.e., dichloromethyl-substituted phenol. The resulting intermediate is then exposed to basic hydrolysis to yield ortho-hydroxybenzaldehyde.