Target Exam

CUET

Subject

Chemistry

Chapter

Organic: Haloalkanes and Haloarenes

Question:

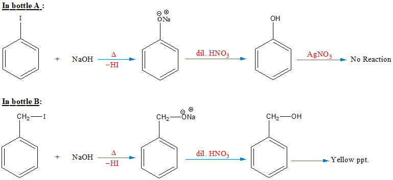
Bottles containing C6H5I and C6H5CH2I lost their original labels. They were labelled A and B for testing. A and B were separately taken in test tubes and boiled with NaOH solution. The end solution in each tube was made acidic with dilute HNO3 and some AgNO3 solution added. Solution B gave a yellow precipitate. Which one of the following statements is true for the experiment?

Options:

Addition of HNO3 was unnecessary

A was C6H5I

A was C6H5CH2I

B was C6H5I

Correct Answer:

A was C6H5I

Explanation:

The correct answer is option 2. A was C6H5I

Since the bottle labelled A does not give a precipitate. Therefore, A was \(C_6H_5I\). Substance labelled B gives a yellow precipitate. Thus, B was \(C_6H_5CH_2I\).