Target Exam

CUET

Subject

Chemistry

Chapter

Organic: Alcohols, Phenols and Ethers

Question:

In the following table, match the reactants given in List I with the correct product in List II as the reaction of hydration of alkene under acidic condition.

List I

(Reactants)

List II

(Products)

Choose the correct answer from the options given below:

Options:

A-I, B-II, C-III, D-IV

A-I, B-III, C-ii, D-IV

A-II, B-I, C-IV, D-III

A-III, B-IV, C-I, D-II

Correct Answer:

A-II, B-I, C-IV, D-III

Explanation:

The correct answer is option 3. A-II, B-I, C-IV, D-III.

List I

(Reactants)

List II

(Products)

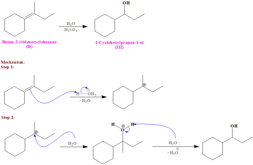
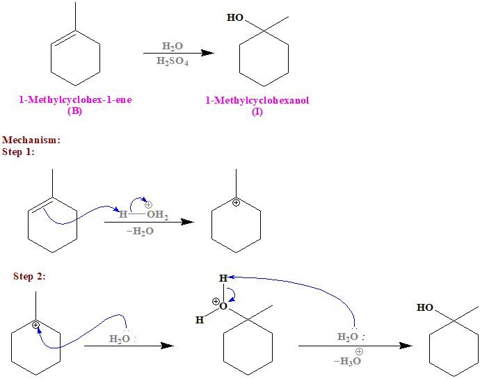
When alkenes are treated with aqueous acid \((H_3O^+)\) they can be converted to alcohols. Formation of the new \(C-OH\) bond tends to occur on the most substituted carbon of the alkene (“Markovnikov” regioselectivity) and is not stereoselective – a mixture of syn and anti-addition occurs.

The reaction proceeds through a carbocation intermediate. Protonation of the alkene occurs such that the most stable carbocation is formed.

Hydration with acid can be accompanied by rearrangements if a more stable carbocation intermediate can be formed through a hydride or alkyl shift. To avoid this, oxymercuration of alkenes is an alternative that does not give rearrangement.

Alcohols will also add to alkenes in the presence of acid. If an alkene and acid are present on the same molecule, intramolecular addition can occur.

The reactions will be as follows :

\(A \longrightarrow II\)

\(B \longrightarrow I\)

\(C \longrightarrow IV\)

\(D \longrightarrow III\)