Target Exam

CUET

Subject

Chemistry

Chapter

Organic: Aldehydes, Ketones and Carboxylic Acids

Question:

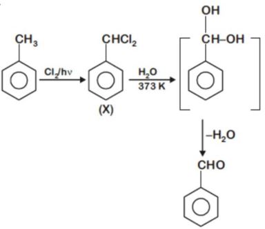
Identify "Y" in the following reaction:

Options:

Benzaldehyde

2-Methylbenzaldehyde

2-Chlorophenol

Benzal chloride

Correct Answer:

Benzaldehyde

Explanation:

The correct answer is Option (1) → Benzaldehyde

The starting compound is toluene (C₆H₅–CH₃).

When toluene reacts with chlorine in the presence of light (Cl₂ / hν), the reaction proceeds through a free radical substitution at the benzylic position (side chain chlorination) rather than substitution on the aromatic ring.

In this process, the hydrogen atoms of the methyl group are successively replaced by chlorine

The reaction proceeds stepwise:

C₆H₅–CH₃ → C₆H₅–CH₂Cl (benzyl chloride)

C₆H₅–CH₂Cl → C₆H₅–CHCl₂ (benzal chloride)

Thus, the intermediate X is benzal chloride (C₆H₅CHCl₂).

When benzal chloride is heated with water at 373 K, hydrolysis occurs. The two chlorine atoms attached to the same carbon are replaced through hydrolysis, forming an aldehyde group.

C₆H₅CHCl₂ + H₂O → C₆H₅CHO

Therefore, the final product Y is benzaldehyde.

Option-wise Explanation

Option 1: Benzaldehyde

This is correct. Hydrolysis of benzal chloride with water produces benzaldehyde (C₆H₅CHO).

Option 2: 2-Methylbenzaldehyde

This is incorrect. No substitution occurs on the aromatic ring, so the methyl group does not shift to an ortho position.

Option 3: 2-Chlorophenol

This is incorrect. Formation of chlorophenol requires electrophilic substitution on phenol, not radical side-chain chlorination of toluene.

Option 4: Benzal chloride

This is incorrect because benzal chloride is the intermediate (X) formed after chlorination of toluene, not the final product Y.