Target Exam

CUET

Subject

Chemistry

Chapter

Organic: Aldehydes, Ketones and Carboxylic Acids

Question:

Match the entries of column I with appropriate entries of column II and choose the correct option out of the four options given.

Column I [Reaction] Column II [Final Product(s)]
(a) Aldol condensation (i) Carboxylic acid and alcohol
(b) Halogenation of aldehydes and ketones in base (ii) α,β-unsaturated carboxylic acid
(c) Perkin reaction (iii) Carboxylic acid and haloform
(d) Cannizzaro's reaction (iv) β-hydroxy aldehyde or ketone

 

Options:

(a)-(iv), (b)-(ii), (c)-(iii), (d)-(i)

(a)-(i), (b)-(ii), (c)-(iii), (d)-(iv)

(a)-(i), (b)-(iii), (c)-(ii), (d)-(iv)

(a)-(iv), (b)-(iii), (c)-(ii), (d)-(i)

Correct Answer:

(a)-(iv), (b)-(iii), (c)-(ii), (d)-(i)

Explanation:

The correct answer is option 4. (a)-(iv), (b)-(iii), (c)-(ii), (d)-(i).

Column I [Reaction] Column II [Final Product(s)]
(a) Aldol condensation (iv) β-hydroxy aldehyde or ketone
(b) Halogenation of aldehydes and ketones in base (iii) Carboxylic acid and haloform
(c) Perkin reaction (ii) α,β-unsaturated carboxylic acid
(d) Cannizzaro's reaction (i) Carboxylic acid and alcohol

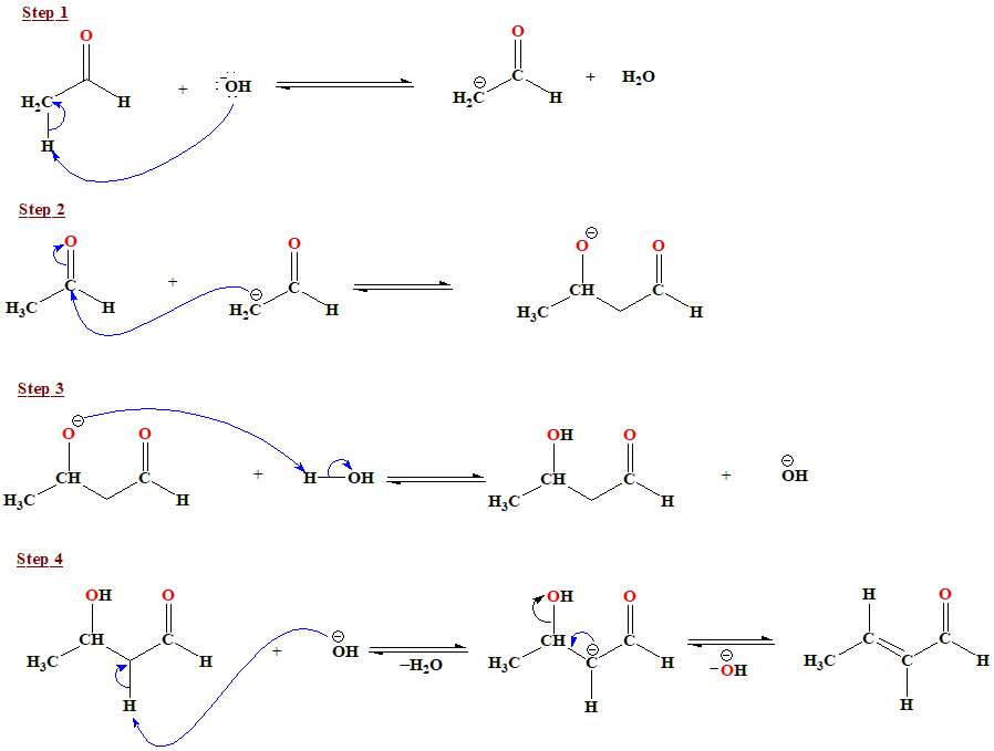
(a) Aldol condensation(iv) β-hydroxy aldehyde or ketone:

An aldol condensation is a condensation reaction in organic chemistry in which an enol or an enolate ion reacts with a carbonyl compound to form a β-hydroxyaldehyde or β-hydroxyketone, followed by dehydration to give a conjugated enone.

Aldol condensations are important in organic synthesis, because they provide a good way to form carbon–carbon bonds.

One of the common examples for base-catalyzed aldol condensation is stated below in which catalyst generally used is hydroxide ion.

Mechanism:

(b) Halogenation of aldehydes and ketones in base(iii) Carboxylic acid and haloform:

When a methyl ketone is treated with base and a halogen (e.g. \(I_2\), \(Br_2\), or \(Cl_2\)) it is converted into a carboxylic acid, along with a haloform \((HCX_3)\). The reaction proceeds through three successive cycles of deprotonation and halogenation at the alpha carbon, followed by addition of base to the carbonyl and expulsion of \(CX_3\) as a leaving group. This is a rare example of an oxidation of a ketone to a carboxylic acid, which is possible because the \((-)CX_3\) ion is a good leaving group and can be displaced by \NaOH\).

Mechanism:

(c) Perkin reaction(ii) α,β-unsaturated carboxylic acid:

A Perkin reaction produces a beta unsaturated aromatic acid (‘beta unsaturated’ means it has a double bond), a carboxylic acid group by aldol condensation of an aromatic aldehyde group (meaning it has \(-CHO\)), and an acid anhydride in the presence of an alkali salt of the acid, which acts as a base catalyst to speed up the reaction. At 180°C, the aldehyde is heated with an excess of acid anhydride to complete the reaction. Under the reaction circumstances, dehydration usually occurs, resulting in an anhydride. Excess aldehyde is removed using steam distillation, and the resultant unsaturated acid is obtained via anhydride hydrolysis with dilute \(HCl\).

Mechanism:

The carboxylate ion abstracts a proton to generate the resonance stabilized carbanion, which is a species containing carbon with a negative charge. The nucleophilic attachment of the carbanion to the carbonyl carbon atom of the aldehyde results in the formation of a tetrahedral intermediate. Acetic acid generated during the procedure protonated the tetrahedral intermediate. The removal of a water molecule from a hydroxy derivative. The unsaturated molecule is hydrolyzed, which is the addition of water to the unsaturated acid.

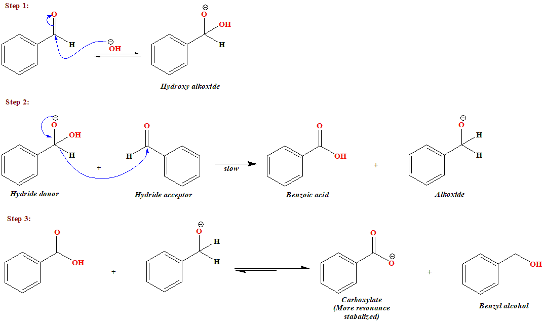
(d) Cannizzaro's reaction(i) Carboxylic acid and alcohol: 

Aldehydes (aliphatic or aromatic), which do not have a-hydrogen atom on treatment with strong base undergoes a reaction involving its 2 moles, one getting oxidized to yield acid salt and the other getting reduced to primary alcohol. The important condition is that there should not be a good leaving group attached to the carbonyl group.

Mechanism:

This involves hydride transfer from an aldehyde molecule lacking an \(α-H\) atom e.g., \(HCHO\), \(R_3CCHO\), \(ArCHO\), to a second molecule of either the same aldehyde (disproportionation) or sometimes to a molecule of different aldehyde (crossed Cannizzaro). The reaction requires the presence of strong bases.