Target Exam

CUET

Subject

Chemistry

Chapter

Organic: Amines

Question:

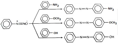
Which of the following compound will undergo azo coupling reaction with benzene diazonium chloride?

(A) Aniline
(B) Phenol
(C) p-Toluidine
(D) Nitrobenzene

Choose the correct answer from the options given below:

Options:

(A), (C) and (D) only

(A), (B) and (D) only

(A), (B), (C) and (D)

(A), (B) and (C) only

Correct Answer:

(A), (B) and (C) only

Explanation:

The correct answer is Option (4) → (A), (B) and (C) only

Core Concept

Azo coupling occurs with activated aromatic rings containing electron donating groups like $-OH$ and $-NH_2$, which increase electron density and facilitate electrophilic substitution.

Detailed Explanation

Option A: Aniline

Aniline contains an $-NH_2$ group which is strongly activating and increases electron density in the aromatic ring. This allows the ring to undergo electrophilic substitution with benzene diazonium chloride, leading to azo coupling.

Option B: Phenol

Phenol contains an $-OH$ group which activates the ring through resonance donation of electrons. This makes the aromatic ring reactive towards electrophilic attack by the diazonium ion, enabling azo coupling.

Option C: p-Toluidine

p-Toluidine contains both $-NH_2$ and $-CH_3$ groups, both of which are electron donating. These groups strongly activate the aromatic ring and make azo coupling feasible.

Option D: Nitrobenzene

Nitro group is strongly electron withdrawing and deactivates the aromatic ring. This reduces electron density and prevents electrophilic substitution, so azo coupling does not occur.