Target Exam

CUET

Subject

Chemistry

Chapter

Organic: Biomolecules

Question:

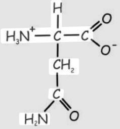
Identify the name of the amino acid representing the following structure

Options:

Phenylalanine

Asparagine

Proline

Tryptophan

Correct Answer:

Tryptophan

Explanation:

The correct answer is Option (4) → Tryptophan

Amino acids contain a common structural framework consisting of:

  • An amino group (−NH₂)
  • A carboxyl group (−COOH)
  • A hydrogen atom
  • A variable side chain (R group)

All these groups are attached to the α-carbon.

The identity of an amino acid depends on the structure of the side chain (R group).

In the given structure:

  • The α-carbon contains NH₂, COOH, and H, confirming it is an amino acid.
  • The side chain consists of a –CH₂ group attached to a fused bicyclic ring system.
  • The ring system is an indole ring, which is made of:
  • A benzene ring
  • Fused with a five-membered nitrogen-containing ring

The indole ring is the characteristic side chain of the amino acid tryptophan.

Therefore, the given structure corresponds to Tryptophan.

Option-wise Explanation

Option 1: Phenylalanine

Phenylalanine contains a benzene ring attached through a –CH₂ group as its side chain (−CH₂–C₆H₅). It does not contain a nitrogen atom within the aromatic ring system. Since the given structure  contains a fused ring with nitrogen (indole ring), this option is incorrect.

Option 2: Asparagine

Asparagine has a polar amide side chain (−CH₂−CONH₂). It does not contain any aromatic ring structure. Since the given compound clearly contains an aromatic fused ring system, this option is incorrect.

Option 3: Proline

Proline contains a five-membered cyclic structure involving the amino nitrogen, forming a secondary amine. It does not contain an aromatic ring or fused ring system. Therefore, this option is incorrect.

Option 4: Tryptophan

Tryptophan contains an indole ring attached through a −CH₂ group to the α-carbon. The indole ring is a fused benzene and pyrrole ring system containing nitrogen. The structure in the question clearly shows this indole ring system. Therefore, this option is correct.