Target Exam

CUET

Subject

-- Mathematics - Section B1

Chapter

Application of Integrals

Question:

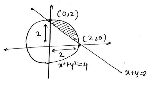
The smaller of the areas enclosed by the circle x2 + y2 = 4 and the line x + y = 2 is

Options:

$2(\pi-2)$

$\pi-2$

$2 \pi-1$

$2 \pi+2$

Correct Answer:

$\pi-2$

Explanation:

Circle in Ist quadrant 

→  $y = \sqrt{4 - x^2}$

area of portion = $\frac{\text{area of circle}}{4} - \text{area of triangle}$

$=\frac{\pi \times 4}{4}-\frac{1}{2} \times 2 \times 2$

$=\pi-2$

Option: 2