Target Exam

CUET

Subject

Chemistry

Chapter

Organic: Amines

Question:

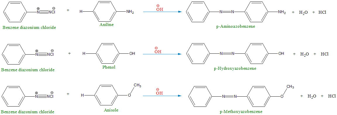
Which of the following compound will not undergo Azo coupling reaction with benzene diazonium chloride?

Options:

Aniline

Nitrobenzene

Phenol

Anisole

Correct Answer:

Nitrobenzene

Explanation:

The correct answer is option  2. Nitrobenzene.

Azo coupling reaction is a reaction between a diazonium salt and an electron-rich aromatic compound. Nitrobenzene is an electron-deficient aromatic compound due to the presence of the nitro group \((-NO_2)\). Therefore, nitrobenzene will not undergo azo coupling reaction with benzene diazonium chloride.

The other three compounds, aniline, phenol, and anisole, are all electron-rich aromatic compounds and will undergo azo coupling reaction with benzene diazonium chloride.

Here are the reactions: