Target Exam

CUET

Subject

Chemistry

Chapter

Organic: Aldehydes, Ketones and Carboxylic Acids

Question:

The compound phenyl benzoate on reaction with NaOH solution will yield:

A. Phenol
B. Benzaldehyde
C. Benzoic ac
D. Benzophenone

Choose the correct answer from the options given below:

Options:

A and B only

A and C only

C and D only

A and D only

Correct Answer:

A and C only

Explanation:

The correct answer is Option (2) → A and C only.

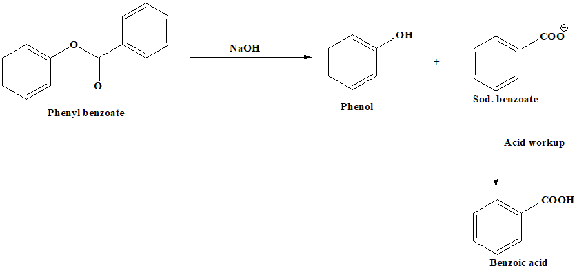
Phenyl benzoate \((C_6H_5COOC_6H_5)\) is an ester formed from benzoic acid and phenol. When phenyl benzoate reacts with sodium hydroxide (\(NaOH\)), the reaction that occurs is an example of base hydrolysis (saponification) of an ester.

Reaction Details:

Ester hydrolysis: In the presence of \(NaOH\), phenyl benzoate undergoes hydrolysis, where the ester bond between the benzoate group and the phenol group is broken.

Products formed:

Benzoate ion \((C_6H_5COO^-)\): The benzoic acid portion of the ester reacts with \(NaOH\), forming the benzoate ion and water.

Phenol \((C_6H_5OH)\): The phenyl part of the ester is released as phenol.


The benzoate ion forms as a result of the hydrolysis of the ester, and it pairs with sodium ions \((Na^+)\) to give sodium benzoate which can then undergo acid workup to give benzoic acid. The phenol group \((C_6H_5OH)\) is released as a free molecule.

Conclusion:

The reaction of phenyl benzoate with sodium hydroxide \((NaOH)\) yields: Phenol and benzoic acid