Target Exam

CUET

Subject

Chemistry

Chapter

Organic: Amines

Question:

Gabriel phthalimide synthesis is used for the preparation of:

Options:

Primary aliphatic amines

Secondary aliphatic amines

Primary aromatic amines

Secondary aromatic amines

Correct Answer:

Primary aliphatic amines

Explanation:

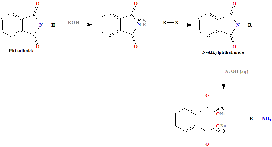
The correct answer is option 1. Primary aliphatic amines.

Gabriel Phthalimide Synthesis Mechanism has 3 steps. The Synthesis is used to get primary amines from primary alkyl halides and is named after the German scientist Siegmund Gabriel.

The reaction has been generalized for applications in the alkylation of sulfonamides and imides & their deprotection in order to obtain amines. Alkylation of ammonia is quite inefficient; therefore, it is substituted with phthalimide anion in the Gabriel synthesis.

The biggest advantage of using the Gabriel synthesis is the avoidance of over alkylation. A good nucleophile in the form of an imide ion is also formed with the reaction of potassium hydroxide with the phthalimide. The imide ion executes a nucleophilic substitution reaction on the alkyl halide and creates an intermediate – N-alkyl phthalimide. Hydrolysis or Hydrazinolysis of this phthalimide yields a primary alkyl amine. However, aryl amines cannot be prepared via Gabriel synthesis as aryl halides don’t undergo simple nucleophilic substitution.