Target Exam

CUET

Subject

-- Mathematics - Section B1

Chapter

Application of Integrals

Question:

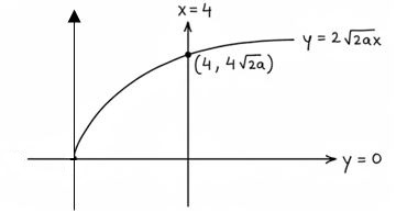
The area under the curve $y=2 \sqrt{2 a x}$ bounded by the lines $x-4=0$, and $y=0$ is $(a>0)$ :

Options:

$\frac{16 \sqrt{2 a}}{3}$ sq. units

$\frac{8 \sqrt{2 a}}{3}$ sq. units

$\frac{64 \sqrt{2 a}}{3}$ sq. units

$\frac{32 \sqrt{2 a}}{3}$ sq. units

Correct Answer:

$\frac{32 \sqrt{2 a}}{3}$ sq. units

Explanation:

$y = 2\sqrt{2ax}$

x - 4 = 0       y = 0

for $x-4=0$ line

$x=4$

at $x=4$

$y=2 \sqrt{2 a \times 4}=y=2 \sqrt{8 a}=4 \sqrt{2 a}$

finding area limit $\rightarrow x=0$ to $x=4$

Area = $\int\limits_0^4 2 \sqrt{2 a x} d x \Rightarrow 2 \sqrt{2 a} \int\limits_0^4 \sqrt{x} d x$

Area = $2 \sqrt{2 a}\left[\frac{x^{1 / 2+1}}{1 / 2+1}\right]_0^4$

$=\frac{2 \times 2 \sqrt{2 a}}{3}(4)^{3 / 2}$

$=\frac{8 \times 4 \sqrt{2 a}}{3}$

$=\frac{32 \sqrt{2 a}}{3}$