Target Exam

CUET

Subject

Chemistry

Chapter

Organic: Amines

Question:

Match the entries of column I with appropriate entries of column II and choose the correct option out of the four options given.

Column I Column II
(i) Ammonolysis (a) Amine with lesser number of carbon atoms
(ii) Gabriel phthalimide synthesis (b) Detection test for primary amines
(iii) Hofmann Bromamide reaction (c) Reaction of phthalimide with KOH and R–X
(iv) Carbylamine reaction (d) Reaction of alkyl halides with NH3

 

Options:

(i)-(c), (ii)-(d), (iii)-(a), (iv)-(b)

(i)-(b), (ii)-(c), (iii)-(a), (iv)-(d)

(i)-(d), (ii)-(a), (iii)-(c), (iv)-(b)

(i)-(d), (ii)-(c), (iii)-(a), (iv)-(b)

Correct Answer:

(i)-(d), (ii)-(c), (iii)-(a), (iv)-(b)

Explanation:

The correct answer is option 4. (i)-(d), (ii)-(c), (iii)-(a), (iv)-(b).

Column I Column II
(i) Ammonolysis (d) Reaction of alkyl halides with NH3
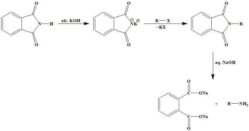
(ii) Gabriel phthalimide synthesis (c) Reaction of phthalimide with KOH and R–X
(iii) Hofmann Bromamide reaction (a) Amine with lesser number of carbon atoms
(iv) Carbylamine reaction (b) Detection test for primary amines

(i) Ammonolysis: Amines are produced when an alcoholic solution of ammonia (or and amine) and an alkyl or benzyl halide is heated in a sealed tube at 373 K. This reaction is a typical example of a nucleophilic substitution reaction in which the nucleophile ammonia (or the amine) displaces the halogen atom. This process of cleavage of C—X bond by ammonia is called ammonolysis.

(ii) Gabriel phthalimide synthesis: This is a very convenient method for the preparation of pure aliphatic and aralkyl primary amines. Phthalimide on treatment with ethanolic KOH gives potassium phthalimide which on heating with a suitable alkyl or aralkyl halide gives N-substituted phthalimides. These upon subsequent hydrolysis with dil. HCl under pressure or with alkali give primary amines.

(iii) Hofmann Bromamide reaction: When a primary amide is treated with an aqueous or ethanolic solution of potassium hydroxide and bromine (or potassium hypobromite, KOBr), it gives a primary amine which has one carbon atom less than the original amide.

(iv) Carbylamine reaction: Both aliphatic and aromatic primary amines on heating with chloroform in the presence of alcoholic KOH form carbylamines or isocyanides having extremely unpleasant smell. This test is called carbylamine test or isocyanide test and is used to distinguish primary amines (aliphatic or aromatic) from secondary and tertiary amines.